2025 Vol. 46, No. 11

Solid Mechanics
Exact Bending Solutions of Rectangular Moderately Thick Plates Resting on 2-Parameter Foundations With 4 Edges Free With the Finite Integral Transform Method
HU Bo, CHENG Chaoyu, YI Fangyu, AN Dongqi
2025, 46(11): 1367-1377. doi: 10.21656/1000-0887.450307
Abstract(427) HTML (185) PDF(130)
Abstract:
Moderately thick plates resting on elastic foundations are an important type of engineering load-bearing structure. The study of their bending behaviors under loads has significant theoretical significance and practical value. The 2-parameter elastic foundation with both the reaction constant and the shear modulus can accurately model the interaction between the plate and the foundation. With the 2D finite integral transform technique, the exact solutions of the displacements and internal forces of a moderately thick rectangular plate with all 4 edges free and supported by a 2-parameter elastic foundation, were derived. The displacement function was not manually selected in advance during the solution process, and instead, the exact solution satisfying the free boundary conditions on all 4 edges was derived directly from the fundamental equations for the problem with the finite integral transform method. The results show that, the exact solution is more rigorous. The accuracy of the exact solution derived from the finite integral transform was validated through computational examples. The presented parameter analysis can provide a theoretical basis for engineering design.
In-Plane Crashworthiness of Graded Hierarchical Hexagonal Honeycombs
ZHOU De, ZHAO Ruochao, TAO Yong
2025, 46(11): 1378-1393. doi: 10.21656/1000-0887.450306
Abstract(344) HTML (147) PDF(29)
Abstract:
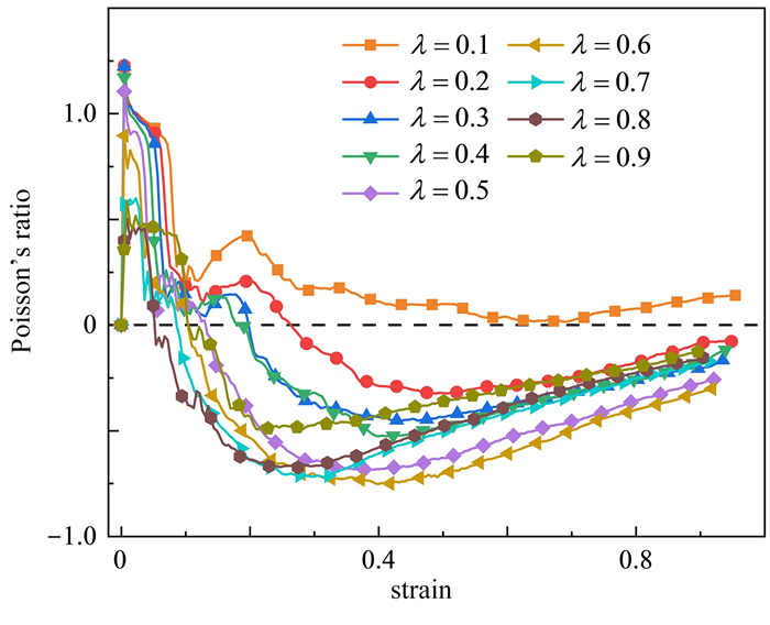
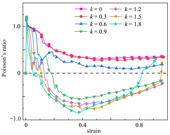
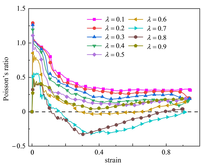
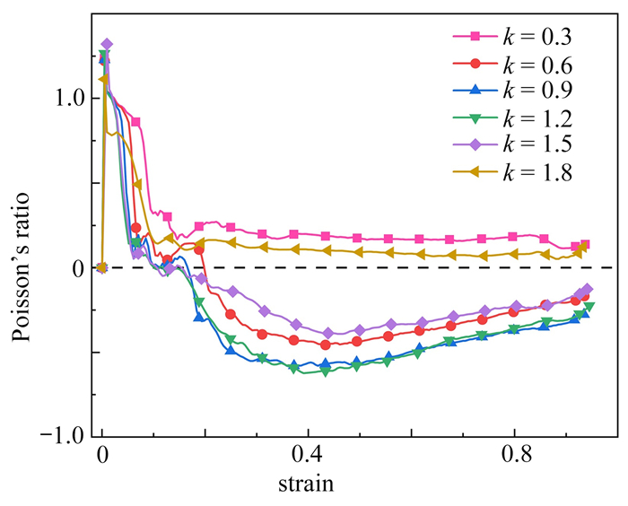
Gradient and hierarchical designs have their own advantages in improving the mechanical and energy-absorption properties of honeycombs. Inspired by natural honeycomb, a novel gradient hierarchical hexagonal honeycomb (GHHH) was proposed based on gradient honeycombs and hierarchical honeycombs, to combine the concepts of gradient design with variable wall thicknesses and vertex hierarchical design. The GHHH specimens were fabricated with the additive manufacturing technology. The in-plane crashworthiness of the novel GHHH was investigated through experiments and numerical simulations, and the effects of gradient design and hierarchical design on the in-plane crashworthiness of GHHH were analyzed and compared. The results show that, the combination of gradient design and hierarchical design can significantly increase the in-plane crashworthiness of honeycomb materials, and a significant negative Poisson's ratio phenomenon will occur. In addition, the gradient design is more effective in enhancing the mechanical and energy absorption properties of the honeycomb materials than the hierarchical design.
High-Order Thin-Walled Curved Beam Elements With the Absolute Nodal Coordinate Formulation
WU Minggang, WANG Yufeng, MA Zhe, SHEN Zhenxing
2025, 46(11): 1394-1402. doi: 10.21656/1000-0887.450296
Abstract(356) HTML (173) PDF(25)
Abstract:
The cross sections of thin-walled curved beams are susceptible to distortion and warping phenomena. To describe the cross-section deformation behaviors under large rotations and deformations, a high-order beam element based on the absolute nodal coordinate formulation was proposed. The global position vector field was constructed with the Taylor series expansion method, and the issue arising from the ambiguous geometrical significance of high-order derivatives was obviated with the increase of the number of transverse nodes in the element. Based upon the nonlinear continuum mechanics theory and the coordinate transformation strategy, the generalized elastic force expression for the thin-walled curved beam element was derived. The accuracy of the proposed thin-walled beam element was validated through comparison with a thin-shell element in ABAQUS.
Optimal Design of Battery Pack Heat Dissipation Topology Considering the Zonal Maximum Temperature Under Transient Effects
GUO Weichao, DU Liang, XU Dong, HE Zhaorui, GAO Xinqin
2025, 46(11): 1403-1415. doi: 10.21656/1000-0887.450276
Abstract(311) HTML (226) PDF(20)
Abstract:
The heat dissipation degree of battery packs is a key factor affecting their stability, energy efficiency, and endurance, and is also one of the bottlenecks in the performances of new energy vehicle batteries. Aimed at the excessive maximum battery pack temperature and the consequent structure failure, and in view of the transient effects, a method representing the specific zonal maximum temperature of the structure, called the area temperature control function, was proposed. Meanwhile, a topology optimization model was established with the zonal maximum temperature as the optimization objective to minimize the zonal maximum temperature of the specific zone of the structure during working hours. Based on the adjoint variable method, the sensitivity analytical expression of the objective function based on design variables was derived. The optimization example results show that, the proposed method can effectively improve the heat dissipation efficiency, reduce the specific zonal maximum temperature and mitigate the temperature inhomogeneity, and has a broad application prospect in the field of new energy vehicles.
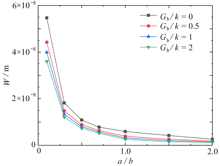
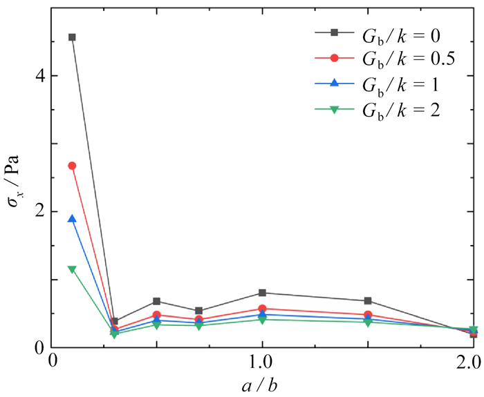
3D Analytical Solutions of Mechatronic Coupling for Functionally Graded Piezoelectric Material Plates With a Circular Hole
ZHANG Youyuan, FAN Huiduo, SHEN Lulu, YANG Bo
2025, 46(11): 1416-1428. doi: 10.21656/1000-0887.460016
Abstract(283) HTML (182) PDF(15)
Abstract:
Based on the extended England-Spencer functionally graded plate theory, the functionally graded elastic material (FGM) was extended to functionally graded piezoelectric material (FGPM) and the responses of the transversely isotropic FGPM plate containing a circular hole were investigated. By virtue of this theory, a 3D boundary value problem can be transformed into a 2D one. The 3D analytical solution was obtained from 4 analytical functions based on the complex variable function method. For a FGPM plate with a circular hole and subjected to mechanical loads, the specific expressions of the 4 analytical functions were determined according to the boundary conditions. Numerical examples were presented to discuss the effects of boundary conditions and relevant parameters on the 3D stresses along the circular hole edge with the material parameters varying exponentially along the plate thickness. The analytical method provides an effective tool for accurate analysis of 3D hole-related issues in functionally graded piezoelectric plates.
Dynamics and Control
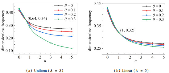
Study of Free Vibration of Porous Functionally Graded Rectangular Plates With Initial Deformation
WANG Yucheng, GAO Fangqing, DENG Hexuan, GU Dingao
2025, 46(11): 1429-1439. doi: 10.21656/1000-0887.450227
Abstract(296) HTML (174) PDF(26)
Abstract:
To meet the efficient design optimization requirements of functionally graded plates under multi-parameter dynamic effects, a unified theoretical framework and model for dynamic analysis was established, under the coupled influences of initial deformation, pore distribution, and gradient effects. The displacement field was described with the 1st-order shear deformation theory to account for the transverse shear effects caused by the graded material variation in the thickness direction. The displacement was discretized with the Chebyshev-Ritz method, and the energy functional expression of the porous functionally graded plate with initial deformation was derived. The characteristic equation of the vibration system was derived based on the principle of minimum energy, and the free vibration properties of the multi-functional graded plate were analyzed through numerical solutions. The convergence and accuracy of this method were validated by comparison with results from previous literatures and finite element analysis. The results show that, the introduction of initial deformation will significantly affect the natural vibration frequencies of porous functional gradient rectangular plates, in addition to the porosity, gradient indexes and other parameters will also affect the natural vibration frequency of the plate.
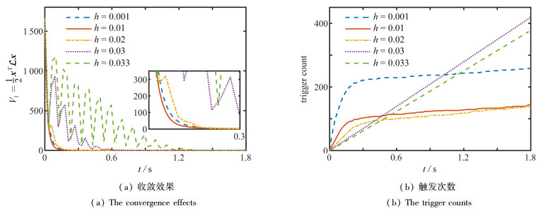
Fixed-Time Bipartite Consensus of Multi-Agent Systems With the Dynamic Event-Triggered Scheme
ZHOU Liqing, ZHAO Huarong, PENG Li
2025, 46(11): 1440-1451. doi: 10.21656/1000-0887.450269
Abstract(377) HTML (228) PDF(21)
Abstract:
To address the issue of the communication constraints in multi-agent systems, a fixed-time dynamic event-triggered bipartite consensus algorithm based on sampled data was studied. First, a periodic sampling mechanism was designed to reduce the communication frequency of the system. Then, a dynamic event-triggered control algorithm based on auxiliary variables was developed for the sampled data to further decrease the triggering frequency of the system. Next, to enhance the convergence speed of the dynamic event-triggered control algorithm, a dynamic event-triggered fixed-time bipartite consensus control algorithm was investigated. Finally, with the Lyapunov stability theory, the algebraic graph theory, and the relevant inequalities, a rigorous theoretical proof of the stability of the proposed control protocol was provided, and the effectiveness of the algorithm was verified through simulation experiments.
Applied Mathematics
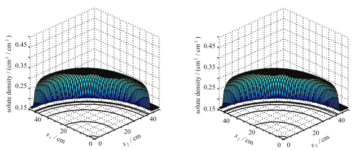
A Reduced-Dimension Method of CN Finite Element Solution Coefficient Vectors for Solute Transport in Soil Flow
HOU Xiaoli, LUO Zhendong, FU Hui
2025, 46(11): 1452-1463. doi: 10.21656/1000-0887.450226
Abstract(300) HTML (175) PDF(14)
Abstract:
The proper orthogonal decomposition (POD) method was used to establish a dimensionally reduced extrapolation simulation model of the Crank-Nicolson (CN) finite element solution coefficient vectors with few degrees of freedom and sufficiently high accuracy for solute transport in soil flow. The existence, stability, and errors of the solutions to the reduced-dimension extrapolation simulation model were analyzed. Some numerical tests were used to verify the validity of the reduced-dimension extrapolation model and the correctness of the theoretical results.
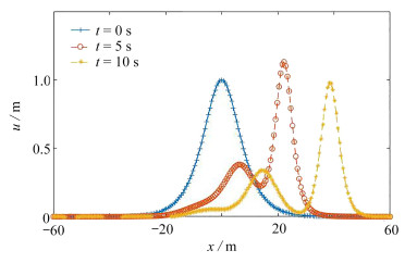
A Conformal Generalized Multi-Symplectic Fourier Pseudo-Spectral Algorithm for Damping eKdV-Burgers Equations
LI Qian, WANG Guixia, WANG Yichen
2025, 46(11): 1464-1479. doi: 10.21656/1000-0887.450263
Abstract(365) HTML (157) PDF(16)
Abstract:
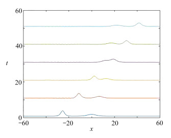
Based on the conformal generalized multi-symplectic theory for Hamiltonian systems, a class of conformal generalized multi-symplectic pseudo-spectral algorithms for damping eKdV-Burgers the equations were studied. Firstly, through introduction of intermediate variables, the equation was transformed into a conformal generalized multi-symplectic Hamiltonian system satisfying local conservation, and the Strang splitting method was used to split it into a conservative subsystem and a dissipative subsystem. Furthermore, the Fourier pseudo-spectral method was applied spatially and the hidden midpoint method applied temporally to discretize the system to obtain the conformal generalized multi-symplectic Fourier pseudo-spectral scheme, which meets the global conformal mass conservation law and the momentum conservation law under the periodic boundary conditions. Numerical examples show that, the algorithm is effective and can maintain the mass and momentum decay characteristics of the system.
Existence and Blow-Up of Solutions to a Class of Time-Space Fractional Pseudo-Parabolic Equations
CHEN Yeming, LI Yaning
2025, 46(11): 1480-1490. doi: 10.21656/1000-0887.450217
Abstract(345) HTML (194) PDF(21)
Abstract:
The effects of the inhomogeneity on the existence and finite time blow-up of solutions to a class of time-space fractional pseudo-parabolic equations were analyzed. Firstly, the local existence of the mild solution was obtained with the fixed-point theorem. By means of the test function method, the solutions' finite-time blow-up was educed under certain conditions. The global existence of the solution to the equation was proved under suitable initial data and inhomogeneous terms. The findings extend the corresponding solution results of integral-order pseudo-parabolic equations, but differ from those of the time-space fractional pseudo-parabolic equations with zero inhomogeneous terms, and show the effects of inhomogeneous terms on the existence and blow-up of the solutions.
Existence of the Compact Pullback Absorbing Family for Magneto-Micropolar Fluid Equations
TIAN Congyang, SUN Wenlong
2025, 46(11): 1491-1500. doi: 10.21656/1000-0887.450334
Abstract(300) HTML (133) PDF(14)
Abstract:
The pullback dynamics of magneto-micropolar fluid equations was studied in 2D bounded domains. Exactly, the existence of the compact pullback absorbing family in space $\hat{H}$ and space $\hat{V}$ was proved with the semigroup method and the ε-regularity method combined with the Sobolev space embedding theory under different conditions, respectively.
Cover And Contents
Cover And Contents
2025, 46(11)
Abstract(300) PDF(226)
Abstract: