2025 Vol. 46, No. 8

Cover And Contents
Cover And Contents
2025, 46(8)
Abstract(305) PDF(388)
Abstract:
Solid Mechanics
Analysis of Wave Propagation Properties of Flexoelectric Phononic Crystal Beams
YANG Shasha, KONG Yifan, SHEN Cheng
2025, 46(8): 1037-1049. doi: 10.21656/1000-0887.460003
Abstract(397) HTML (185) PDF(19)
Abstract:
When the structural scale is reduced to the micro and nano sizes, a new type of electromechanical coupling effect (i.e. the flexoelectric effect) becomes increasingly important. A phononic crystal beam model with the flexoelectric effect in micro scale was established. The dispersion curves and vibration responses of the structure were studied. Based on the nanodielectric theory under flexoelectric effects, the constitutive equation for flexoelectric materials was derived from the electrical Gibbs free energy density. Based on the theoretical hypothesis of the Bernoulli-Euler beam and the variational principle, the governing vibration equation for the beam under flexoelectric effects, micro-inertial effects and dynamic flexoelectric effects, was derived. The energy band structure of a phonon crystal beam under flexoelectric effects and the natural frequencies of a finite length cantilever beam were calculated with the transfer matrix method. The flexoelectric effects and the influences of structural parameters on natural frequencies and band gaps were studied. The results show that, the flexoelectric effect significantly increases the natural frequency, and the wider band gap can be obtained by the change of the structural parameters. The simulation results are in good agreement with the theoretical ones, which proves the validity of the theoretical method. The work provides a theoretical guidance for the future design of micro and nano phonon crystal beams under the flexoelectric effects.
Derivations and Applications of Stick-Slip Boundaries for 2 Creep Theories
CHENG Chang, WANG Yaowei, LU Chenxu, CHEN Dilai
2025, 46(8): 1050-1063. doi: 10.21656/1000-0887.450317
Abstract(405) HTML (254) PDF(33)
Abstract:
The analytical solution helps better understand the effects of creep and spin on the stick-slip zone distributions and quickly determine the stick-slip distributions of contact patches. Therefore, the analytical expressions of stick-slip boundaries of the Kalker simplified theory and the Polach theory were derived and applied to the wheel-rail wear calculation. The calculation results show that, with small creepages and major axis-to-minor axis ratios of the contact patches, the stick-slip divisions and stress distributions obtained by the 2 theories are consistent. With the increases of the creepage and the major axis-to-minor axis ratio, the results gradually differ. For the wet rail surface, the slip zone proportion will increase significantly, but the wear rate will decrease by 20%~30%. The braking level has a significant effect on the wear rate, and the emergency braking causes a significant increase in wear compared to the normal braking. The increase of the train speed raises the wheel-rail sliding speed and aggravates the wear rate.
A Perturbed Primal-Dual Dynamical System for Solving Convex-Concave Bilinear Saddle Point Problems
HE Liang, GUO Xiaole, SUN Xiangkai
2025, 46(8): 1064-1072. doi: 10.21656/1000-0887.450318
Abstract(296) HTML (149) PDF(18)
Abstract:
A 2nd-order inertial primal-dual dynamical system with external perturbations for solving convex-concave bilinear saddle point problems was investigated. Firstly, the existence and uniqueness of the global strong solution of the dynamical system was established. Then, with integrable assumption on perturbation parameters, the fast convergence rates of the primal-dual gap function and the norms of velocity vectors along the trajectories generated by the dynamical system were obtained. Numerical experiments show that, the dynamical system has fast convergence rates under different kinds of perturbations.
A Fracture Toughness Prediction Method for Structural Components Based on Crack Tip Plastic Zone Radius Vectors
HUANG Xingling
2025, 46(8): 1073-1082. doi: 10.21656/1000-0887.450136
Abstract(465) HTML (222) PDF(29)
Abstract:
It is significant to study the transformation of fracture toughness data from plane strain conditions to engineering structures, since the plane strain fracture toughness cannot accurately characterize the fracture toughness of structural components due to constraint effects. Based on the plastic zone radius vectors of crack tips, a correction model for fracture toughness was proposed with the combined effects of in-plane and out-of-plane constraints incorporated theoretically, and a fracture toughness prediction method was developed for engineering structures. With the correction model, the fracture toughness and allowable loads were analyzed for the single edge-cracked stiffened plate. The results show that, both in-plane and out-of-plane constraints have important influences on fracture toughnesses and allowable loads of stiffened plates. Compared with the plane strain fracture toughness and the correction method based on the in-plane T-stress, the correction model based on plastic zone radius vectors is more accurate and reasonable, and can reflect the effects of in-plane and out-of-plane constraints comprehensively.
Special Topic on Digital Twin for Aerospace Structures
Preface
WANG Bo, LI Rui, HAO Peng, TIAN Kuo
2025, 46(8): 1-2.
Abstract(274) HTML (182) PDF(45)
Abstract:
A Fast Re-Modelling Method for Simulation Models by Fusing Geometric Information and Simulation Information
LI Hongqing, NI Chenjun, WANG Bo, CAI Yongming, ZHANG Yinxuan, CHEN Liang, TIAN Kuo
2025, 46(8): 947-958. doi: 10.21656/1000-0887.460030
Abstract(809) HTML (262) PDF(67)
Abstract:
In the design iteration process of complex structures, a large amount of re-modelling and re-analysis is often involved, leading to high computational costs and long processing periods. To address this challenge, a fast re-modelling method for simulation models was proposed by fusing geometric and mesh information. The method can accurately capture and digitally represent the structural features of the complex geometric model. Then, the feature information of the geometric model was trained to drive the automatic re-modelling of the simulation model. Firstly, the quasi-conformal mapping technique was introduced to parameterize the complex surfaces. A fixed number of control points were obtained through the voxel sampling, as a digital representation of the structural features. Secondly, the radial basis function algorithm was used to train the control points of the geometric model before and after modification. The automated re-modelling of the simulation model was realized with the mesh-mapping technique. Finally, to verify the effectiveness and practicality of the proposed method, an aircraft frame structure was used as a case study. Compared with the traditional re-modelling method, the proposed method has a simulation analysis error level of stress at only 0.87%. The number of required human-computer interaction steps decreases by 95.40% and the operation time reduces by 96.67%. The results show that, the proposed method significantly reduces the simulation model re-modelling time while ensuring the simulation accuracy, which achieves the rapid design based on the digital twin between geometric and mesh models.
A Long Short-Term Memory Networks Based Method for Force Reconstruction With Interval Uncertainties
WANG Lei, CHENG Liaoliao, HU Juxi, GU Kaixuan, LIU Yingliang
2025, 46(8): 959-972. doi: 10.21656/1000-0887.450152
Abstract(391) HTML (201) PDF(47)
Abstract:
In response to the instability issues of traditional neural networks in handling time-dependent dynamic processes and noisy data, a dynamic force reconstruction method based on long short-term memory (LSTM) networks was proposed. The measured response signals, contaminated by noise, were normalized as input variables, while the normalized dynamic loads as output variables. The implementation approach of LSTM networks was adopted. To enhance the network's generalization ability, various types of dynamic responses and original loads were defined as sample structures at each time step. In view of interval uncertainty, the point distribution strategy results were adjusted to build the dimension-wise method (DWM) based on the traditional point distribution methods, to get precise resolution of uncertainty load identification with independent interval variables in the investigation of uncertainty variables in a specific dimension through fixation of others. Finally, by numerical examples and a comparison with traditional neural networks (back-propagation neural networks), the LSTM neural network was proved to be more stable in handling noisy data. An experimental design validates the effectiveness and feasibility of this method for time-dependent data.
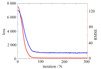
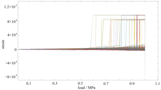
The Model and Data-Driven Digital Twin Technology for Ultimate Load-Bearing Capacity of the Rocket Propellant Tank Structure
HUANG Jia, TONG Jun, GUO Jian, GUO Wenjing, YANG Rong, ZHU Xiquan
2025, 46(8): 973-982. doi: 10.21656/1000-0887.450210
Abstract(430) HTML (256) PDF(32)
Abstract:
A digital twin methodology integrating physical measurements with computational modeling was proposed for predicting the ultimate load-bearing capacity of the key propellant tank structure in aerospace launch vehicles. First, a refined finite element model (FEM) was established based on the tank structural design and manufacturing process characteristics, to compute and analyze the structure strength, with results extracted specifically in positions corresponding to physical measurement points. Historical experimental data from structural strength tests were subsequently processed and analyzed. With both the test data and the simulation outputs, a comprehensive training dataset was constructed for the tank structure ultimate load-bearing capacity digital twin model. A long short-term memory (LSTM) network was then trained with this dataset to predict the structure ultimate load-bearing capacity. Finally, a dual-mode (offline and online interactive) digital twin system was implemented to predict the tank structure ultimate load-bearing performance. This proposed method significantly enhances virtual-physical testing ability and efficiency and reduces related testing costs and risks.
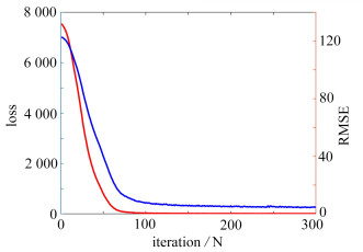
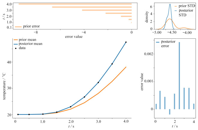
A Digital Twin Modeling Approach for Structural Heat Conduction Analysis Based on Stochastic Modeling and Bayesian Inference
LI Jianyu, FU Jiexiang, HAO Xinye, LI Guangli
2025, 46(8): 983-998. doi: 10.21656/1000-0887.460055
Abstract(422) HTML (251) PDF(41)
Abstract:
The accurate prediction of structural heat transfer temperature fields under extreme thermal environments is a critical foundation for evaluating the thermo-mechanical performance of equipment. The digital twin technology enables high-precision dynamic reconstruction of temperature fields through the deep integration of observed data and simulation models. However, digital twin models for predicting structural heat transfer temperature fields with multi-source uncertainties, such as observation noise, model parameter uncertainty, and boundary condition disturbances, are still relatively scarce. Aimed to construct a heat conduction digital twin model with uncertainty quantification, a data-model fusion method combined with stochastic heat conduction analysis was proposed based on the Bayesian inference framework. First, a Gaussian random perturbation heat source term was introduced into the heat conduction equation to simulate uncertainty factors not quantified by the original model. Second, the stochastic heat conduction model was solved with the stochastic finite element method to obtain a prior distribution of the temperature field incorporating physical information. Finally, based on Bayes' theorem, the noisy observation data was fused with the model-predicted prior distribution, and an analytical expression for the posterior distribution of the temperature field was derived for the Gaussian case. The results of 1D and 2D heat conduction examples demonstrate that, the proposed method not only achieves high-precision prediction of the temperature field but also effectively quantifies the uncertainty of the prediction results.
Research on the Early Warning and Broadcast of High-Pressure Turbine Thermal Corrosion Faults by Integrating Dynamic Simulation and Intelligent Identification
XU Zhe, CHEN Yanmu, ZHAO Haixin, CHEN Xudong, LU Yeming
2025, 46(8): 999-1015. doi: 10.21656/1000-0887.450270
Abstract(466) HTML (235) PDF(29)
Abstract:
Gas turbines are important power sources for aerospace and marine equipment. As a key part of the combined combustion system, turbines operating in high-temperature, high-pressure environments for extended periods are prone to blade thermal corrosion, which can lead to system failures. Therefore, researching the thermal corrosion fault diagnosis technology for turbines is of great engineering importance. To address turbine thermal corrosion, a method integrating dynamic simulation and intelligent diagnostic algorithms was proposed. A dynamic simulation model was established based on the engine's operating mechanism with a modular design approach. The outliers were detected with the standard deviation method and the missing values were filled with the KNN algorithm. The wavelet packet Bayesian denoising was then used to obtain precise signals and data, to enable the construction of an identification model for thermal corrosion damage of the blades with artificial intelligence algorithms. By means of training artificial intelligence algorithms with historical health data and monitoring the deviations between predicted values and actual measurements from the early warning model, the early detection of turbine thermal corrosion faults was realized. The testing results of different components of 120 units show that, the proposed method has a precise fault-localizing identification rate of 95%. The high-pressure turbine thermal corrosion fault early warning tests with different data characteristics in 24 units give an accuracy above 91.7%. This study provides technical references for the digitized diagnosis of power equipment.
Micro-Nano Mechanical Properties and Piezoresistive Behaviors of High-Temperature Sensing Amorphous SiCN Ceramics
WEI Haoran, BAI Yujie, NIU Jiahong, YANG Qiang
2025, 46(8): 1016-1026. doi: 10.21656/1000-0887.460068
Abstract(414) HTML (257) PDF(17)
Abstract:
The digital twin technology, utilizing the high-precision virtual modeling and the real-time data acquisition, plays a crucial role in the design, operation, and maintenance of high-temperature components. Robust, sensitive and stable sensors are indispensable for precisely characterizing the operational status of these components. The dense amorphous SiCN ceramics was fabricated through liquid molding of the polysilazane (PSN1) precursor, and the pyrolysis temperature effects on the microstructural evolution, the micro-nano mechanical properties and the piezoresistive response were investigated. The results demonstrate that, with the increase of the pyrolysis temperature, the amorphous SiCN density and the structural free carbon phase degree of order will gradually rise. Within the pyrolysis temperature range of 1 000~1 200 ℃, the density increase as the dominant factor markedly augments the elastic modulus, the hardness, and the creep index. At a temperature up to 1 300 ℃, the free carbon structure orderliness as the dominant factor enhances the deformation ability of the amorphous SiCN, resulting in decreases of the elastic modulus, the hardness and the creep index. Furthermore, the orderliness of the free carbon conducting phase significantly promotes the electrical conductivity of the amorphous SiCN. The amorphous SiCN subjected to pyrolysis at 1 300 ℃ exhibits the highest piezoresistivity coefficient (310~416), and the corresponding electrical resistance value shows a sharp drop trend followed by a gradual flattening with the stress. The amorphous SiCN still exhibits excellent piezoresistive performances and stability at a high temperature up to 900 ℃, promising a potential application in the field of high-temperature pressure sensors.
A Lightweight Convolutional Neural Network for Guided Wave Based Damage Detection in Composite Structures
BAO Wenqiang, MA Jitong, ZHAO Sen, YANG Zhengyan
2025, 46(8): 1027-1036. doi: 10.21656/1000-0887.450162
Abstract(562) HTML (285) PDF(30)
Abstract:
For real-time monitoring composite structures under limited resource conditions, a machine learning-assisted method based on ultrasonic guided waves was proposed for real-time damage detection. In the proposed method, firstly, an improved differential-driven piecewise aggregate approximation (IDPAA) algorithm was designed to compress multi-path guided wave signals, thereby greatly reducing computational requirements. Secondly, a novel lightweight deformable convolution attention (DCA) mechanism was developed, which can help model focus on pixel-level feature information related to damage, enabling more efficient and accurate structural damage detection. Finally, by integrating a one-dimension CNN (1D CNN) with the designed DCA mechanism, a lightweight 1D-CNN-DCA (CDCA) model was proposed, which not only can work under the limited resource conditions but also can effectively real-time monitor structural damages under noise environments. The experiment of the proposed damage detection method on real-world datasets demonstrates its effectiveness, where the results reveal that it can reach 98% accuracy and significantly improves computation efficiency, outperforming other advanced monitoring approaches.