• Scopus收录
  • CSCD来源期刊
  • 中文核心期刊

留言板

尊敬的读者、作者、审稿人, 关于本刊的投稿、审稿、编辑和出版的任何问题, 您可以本页添加留言。我们将尽快给您答复。谢谢您的支持!

姓名
邮箱
手机号码
标题
留言内容
验证码

变截面二维功能梯度微梁的振动和屈曲特性

雷剑 谢宇阳 姚明格 何玉明

雷剑,谢宇阳,姚明格,何玉明. 变截面二维功能梯度微梁的振动和屈曲特性 [J]. 应用数学和力学,2022,43(10):1133-1145 doi: 10.21656/1000-0887.420323
引用本文: 雷剑,谢宇阳,姚明格,何玉明. 变截面二维功能梯度微梁的振动和屈曲特性 [J]. 应用数学和力学,2022,43(10):1133-1145 doi: 10.21656/1000-0887.420323
LEI Jian, XIE Yuyang, YAO Mingge, HE Yuming. Vibration and Buckling Characteristics of 2D Functionally Graded Microbeams With Variable Cross Sections[J]. Applied Mathematics and Mechanics, 2022, 43(10): 1133-1145. doi: 10.21656/1000-0887.420323
Citation: LEI Jian, XIE Yuyang, YAO Mingge, HE Yuming. Vibration and Buckling Characteristics of 2D Functionally Graded Microbeams With Variable Cross Sections[J]. Applied Mathematics and Mechanics, 2022, 43(10): 1133-1145. doi: 10.21656/1000-0887.420323

变截面二维功能梯度微梁的振动和屈曲特性

doi: 10.21656/1000-0887.420323
基金项目: 国家自然科学基金(11802101;11772138)
详细信息
    作者简介:

    雷剑(1988—),男,讲师,博士(E-mail:swordlei@hust.edu.cn

    何玉明(1962—),男,教授,博士(通讯作者.  E-mail:ymhe@hust.edu.cn

  • 中图分类号: O341

Vibration and Buckling Characteristics of 2D Functionally Graded Microbeams With Variable Cross Sections

  • 摘要:

    基于修正的偶应力理论和Timoshenko梁理论,应用变分原理建立了变截面二维功能梯度微梁的自由振动和屈曲力学模型。模型中包含金属组分和陶瓷组分的材料内禀特征尺度参数,可以预测微梁力学行为的尺度效应。采用Ritz法给出了任意边界条件下微梁振动频率和临界屈曲载荷的数值解。数值算例表明:微梁厚度减小时,无量纲一阶频率和无量纲临界屈曲载荷增大,尺度效应增强。锥度比对微梁一阶频率的影响与边界条件密切相关,同时,对应厚度和对应宽度锥度比的影响也有明显差异。变截面微尺度梁无量纲一阶频率随着陶瓷和金属的材料内禀特征尺度参数比的增加而增大,且不同边界条件时增大程度不同。厚度方向和轴向功能梯度指数对微梁的一阶频率和屈曲载荷也有显著的影响。

  • 图  1  二维变截面功能梯度微梁示意图

    Figure  1.  Schematic diagram of a 2D variable-cross-section functionally graded microbeam

    图  2  两端固支边界时锥度比对微梁无量纲频率的影响(${h_{\rm{L}}} = 3{\text{ μm}}$$L = 20{h_{\rm{L}}}$${l_{\rm{c}}} = {l_{\rm{m}}} = 1.5{\text{ μm}}$

    Figure  2.  The effects of taper ratios on the dimensionless frequencies of microbeams with clamped boundary conditions (${h_{\rm{L}}} = 3{\text{ μm}}$$L = 20{h_{\rm{L}}}$${l_{\rm{c}}} = {l_{\rm{m}}} = 1.5{\text{ μm}}$)

    图  3  两端铰支边界时锥度比对微梁无量纲频率的影响(${h_{\rm{L}}} = 3{\text{ μm}}$$L = 20{h_{\rm{L}}}$${l_{\rm{c}}} = {l_{\rm{m}}} = 1.5{\text{ μm}}$

    Figure  3.  The effects of taper ratios on the dimensionless frequencies of microbeams with hinged boundary conditions (${h_{\rm{L}}} = 3{\text{ μm}}$$L = 20{h_{\rm{L}}}$${l_{\rm{c}}} = {l_{\rm{m}}} = 1.5{\text{ μm}}$)

    图  4  两端自由边界时锥度比对微梁无量纲频率的影响(${h_{\rm{L}}} = 3{\text{ μm}}$$L = 20{h_{\rm{L}}}$${l_{\rm{c}}} = {l_{\rm{m}}} = 1.5{\text{ μm}}$

    Figure  4.  The effects of taper ratios on the dimensionless frequencies of microbeams with free boundary conditions (${h_{\rm{L}}} = 3{\text{ μm}}$$L = 20{h_{\rm{L}}}$${l_{\rm{c}}} = {l_{\rm{m}}} = 1.5{\text{ μm}}$

    图  5  悬臂边界时锥度比对微梁无量纲频率的影响(${h_{\rm{L}}} = 3{\text{ μm}}$$L = 20{h_{\rm{L}}}$${l_{\rm{c}}} = {l_{\rm{m}}} = 1.5{\text{ μm}}$

    Figure  5.  The effects of taper ratios on the dimensionless frequencies of microbeams with cantilever boundary conditions (${h_{\rm{L}}} = 3{\text{ μm}}$$L = 20{h_{\rm{L}}}$${l_{\rm{c}}} = {l_{\rm{m}}} = 1.5{\text{ μm}}$)

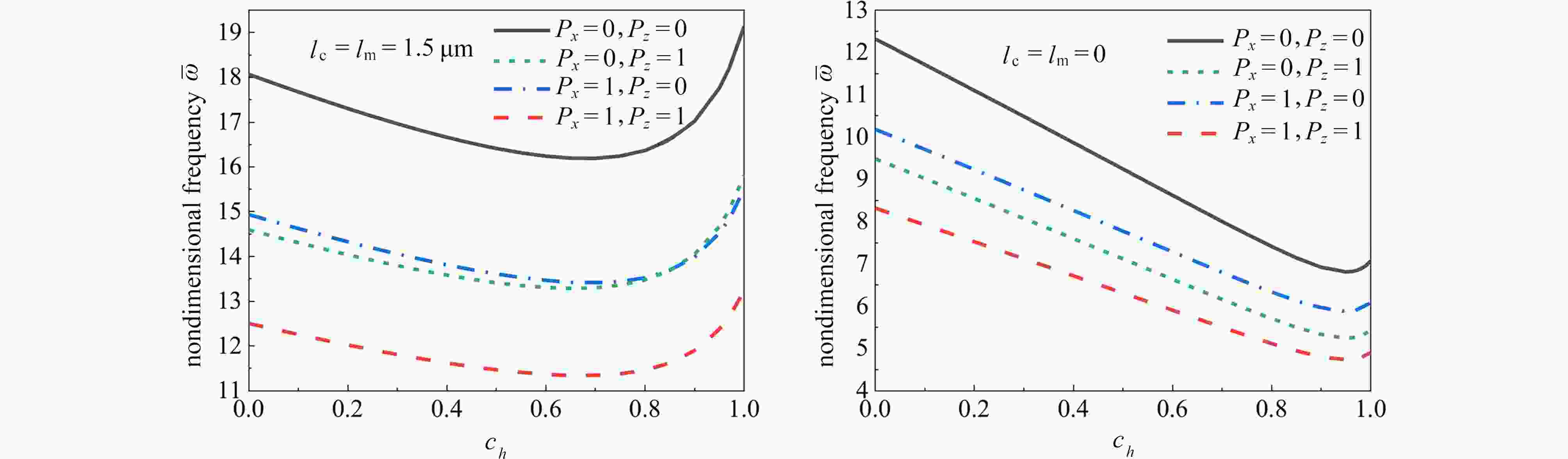
    图  6  轴向功能梯度指数对微梁无量纲频率的影响(${h_{\rm{L}}} = 3{\text{ μm}}$$L = 20{h_{\rm{L}}}$${c_h} = {c_b} = 0$$P_z = 0$

    Figure  6.  The effects of axial functional gradient indexes on the dimensional frequencies of microbeams (${h_{\rm{L}}} = 3{\text{ μm}}$$L = 20{h_{\rm{L}}}$${c_h} = {c_b} = 0$$P_z = 0$

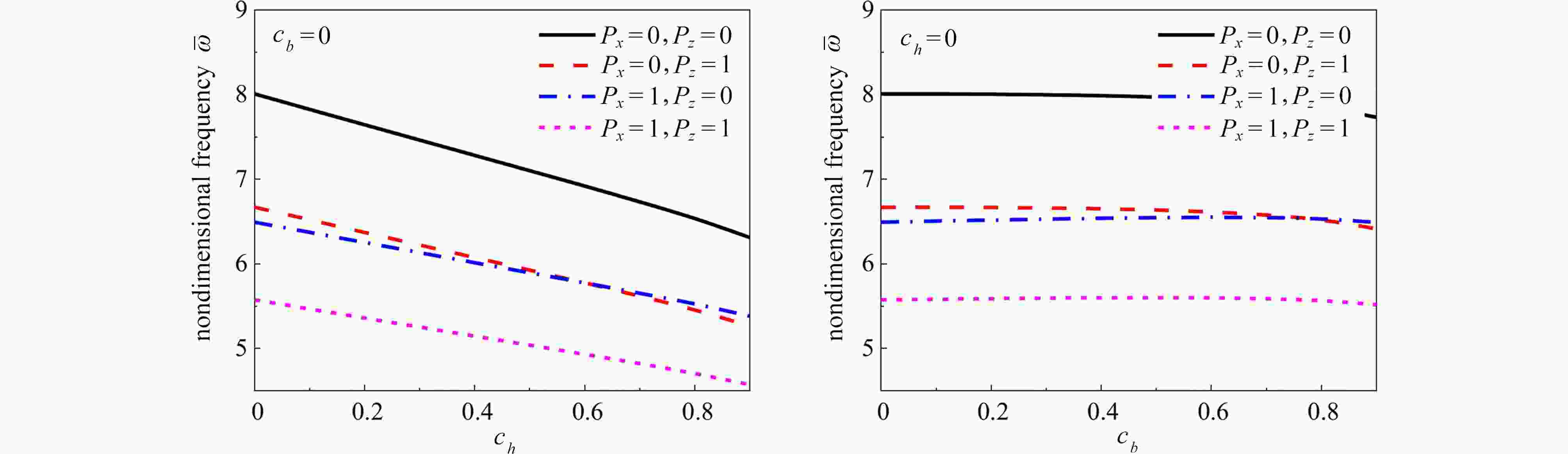
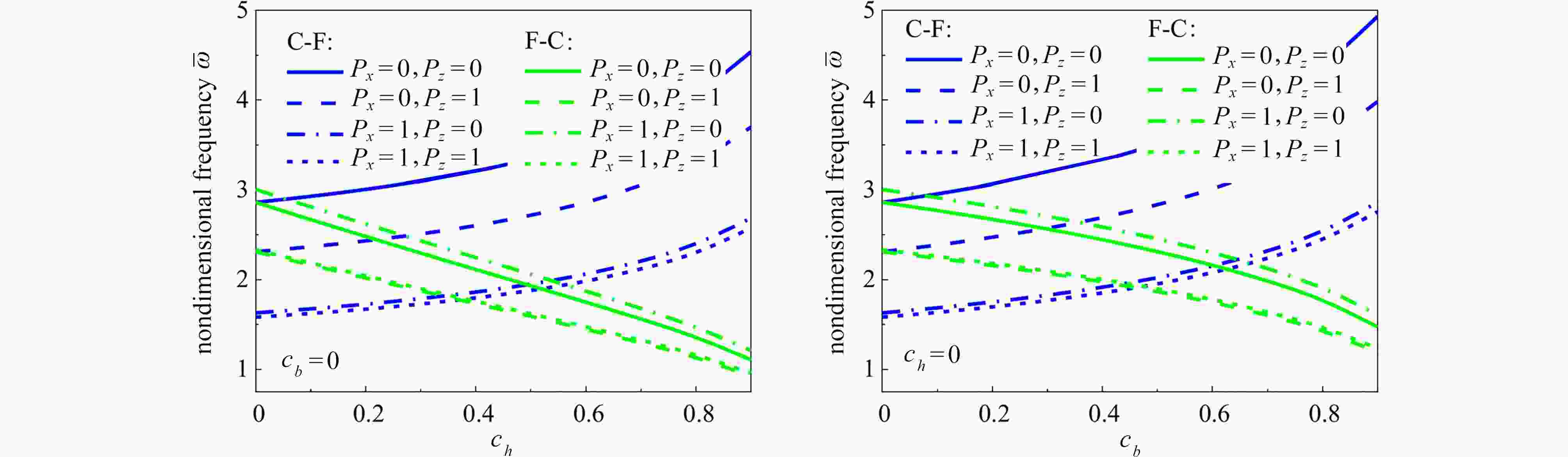
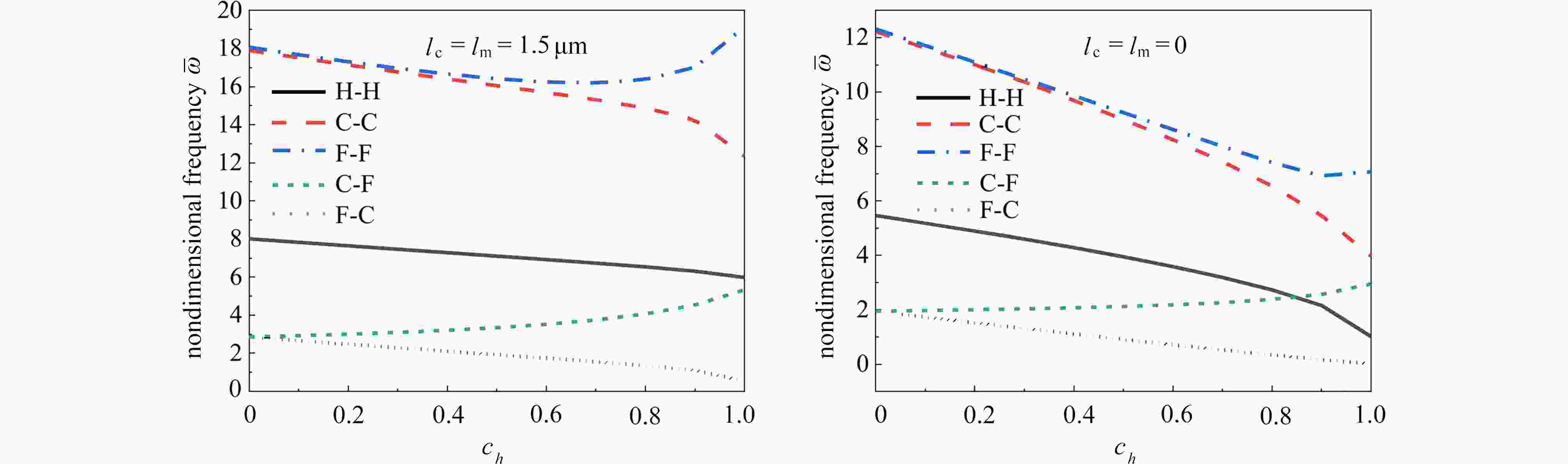
    图  7  锥度比(ch)对微梁无量纲频率的影响(${h_{\rm{L}}} = 3{\text{ μm}}$$L = 20{h_{\rm{L}}}$${c_b} = 0$$P_x = P_z = 0$

    Figure  7.  The effects of taper ratios(ch) on the dimensional frequencies of microbeams (${h_{\rm{L}}} = 3{\text{ μm}}$$L = 20{h_{\rm{L}}}$${c_b} = 0$$P_x = P_z = 0$

    图  8  锥度比(cb)对微梁无量纲频率的影响(${h_{\rm{L}}} = 3{\text{ μm}}$$L = 20{h_{\rm{L}}}$${c_h} = 0$$P_x = P_z = 0$

    Figure  8.  The effects of taper ratios(cb)on the dimensional frequencies of microbeams (${h_{\rm{L}}} = 3{\text{ μm}}$$L = 20{h_{\rm{L}}}$${c_h} = 0$$P_x = P_z = 0$

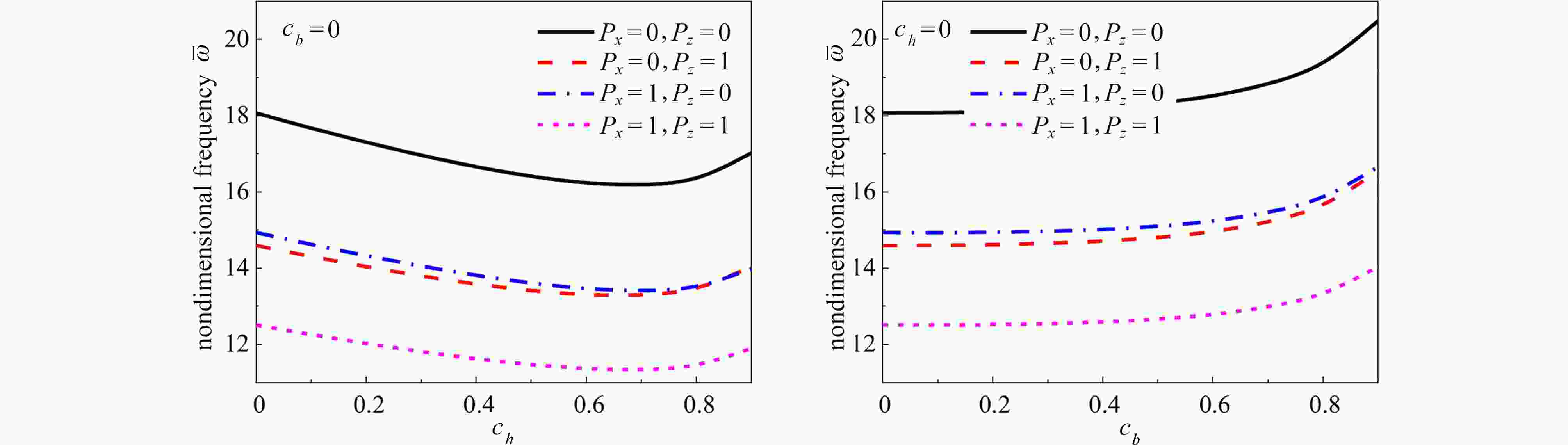
    图  9  锥度比(ch)对自由边界条件微梁无量纲频率的影响(${h_{\rm{L}}} = 3{\text{ μm}}$$L = 20{h_{\rm{L}}}$${c_b} = 0$,F-F)

    Figure  9.  The effects of taper ratios(ch) on the dimensional frequencies of microbeams with free boundary conditions (${h_{\rm{L}}} = 3{\text{ μm}}$$L = 20{h_{\rm{L}}}$${c_b} = 0$,F-F)

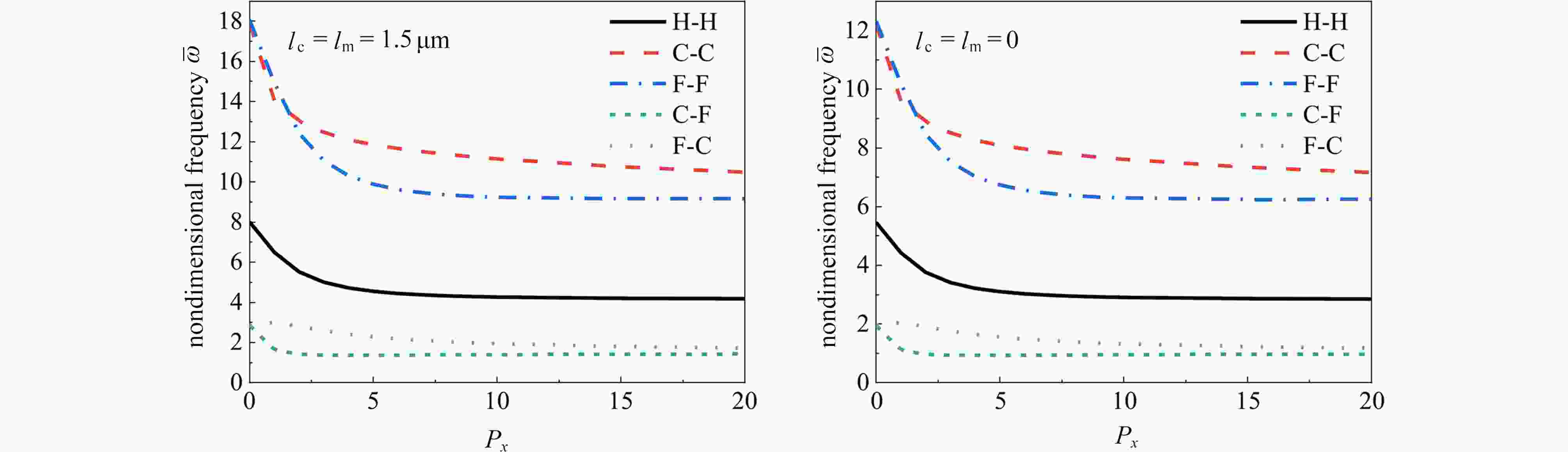
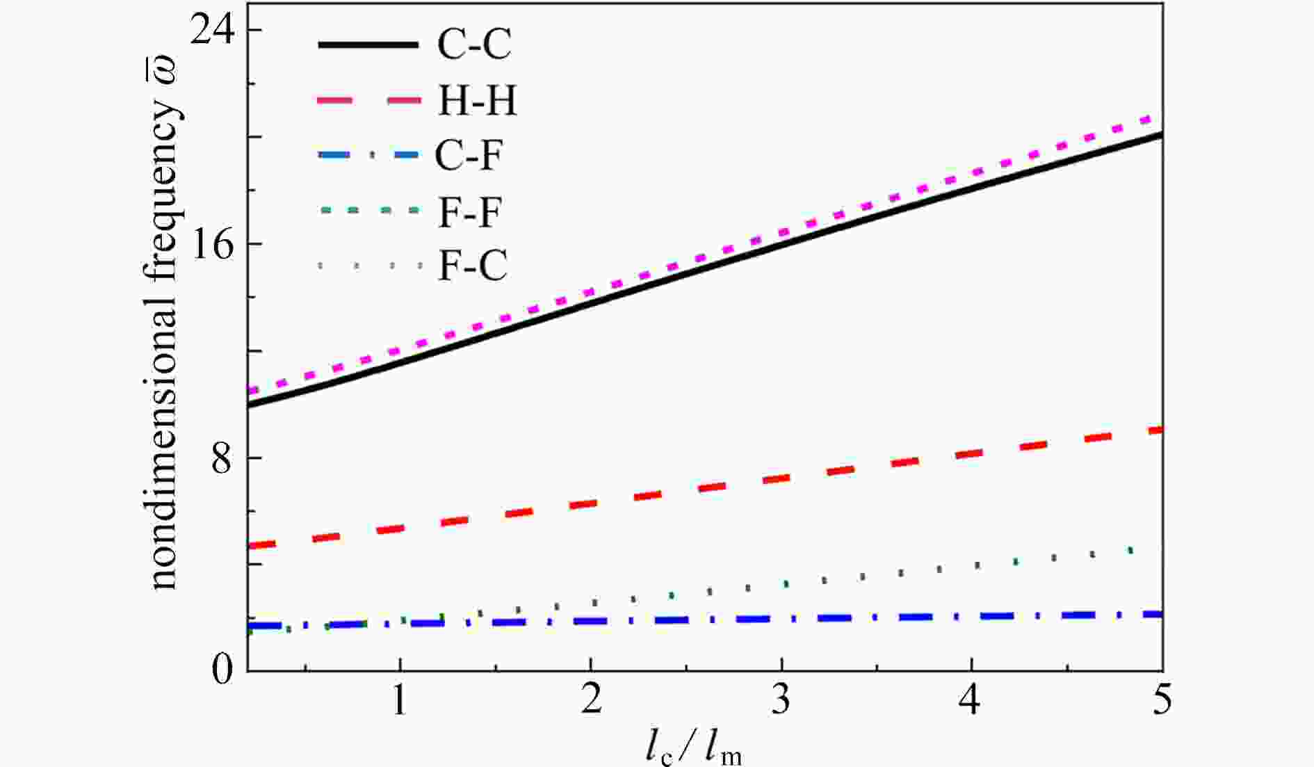
    图  10  长厚比对微梁无量纲频率的影响(C-C,${c_h} = {c_b} = 0.2$$P_x = $$ P_z = 1$${l_c} = {l_m} = 1.5{\text{ μm}}$

    Figure  10.  The effects of length-to-thickness ratios on the dimensionless frequencies of microbeams (C-C, ${c_h} = {c_b} = 0.2$, $P_x = P_z = 1$, ${l_{\rm{c}}} = {l_{\rm{m}}} = 1.5{\text{ μm}}$)

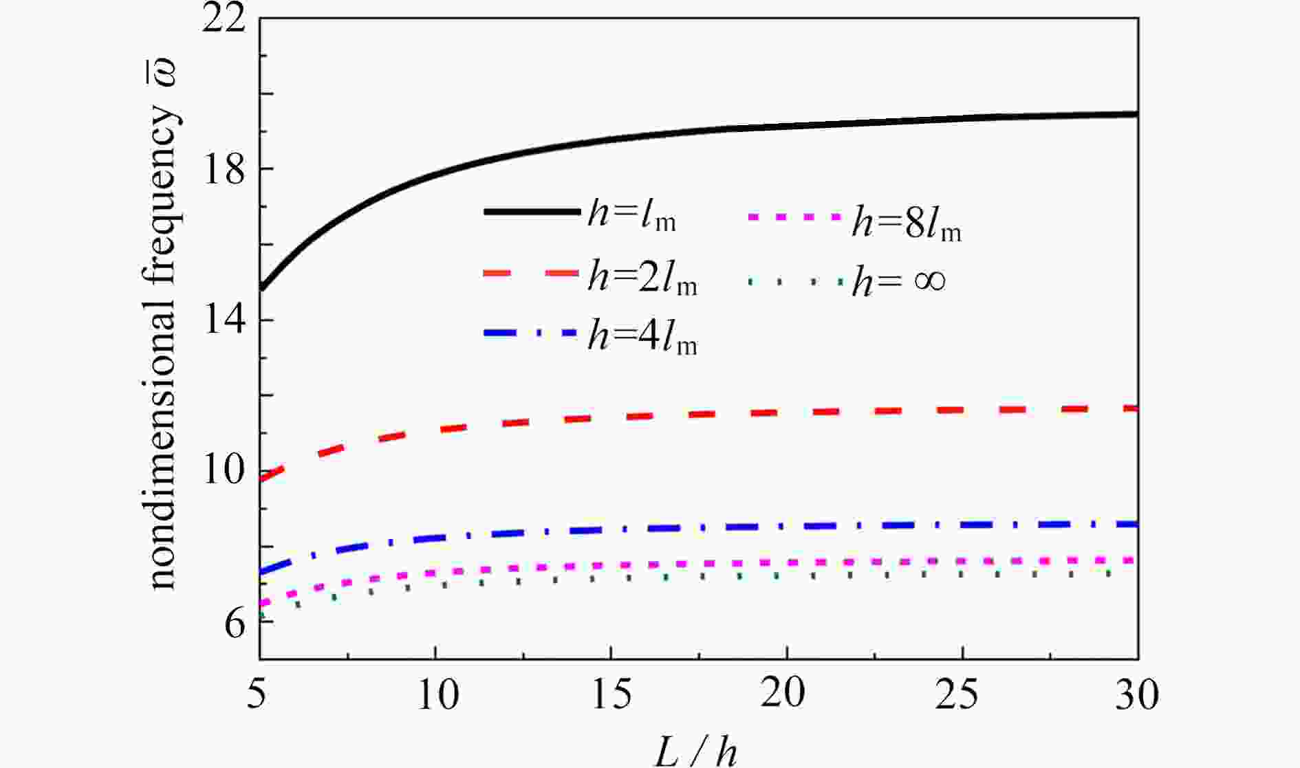
    图  11  陶瓷和金属的材料尺度参数比对微梁无量纲频率的影响(${h_{\rm{L}}} = 3{\text{ μm}}$$L = 20{h_{\rm{L}}}$$P_x = P_z = 1$${c_h} = {c_b} = 0.2$${l_{\rm{m}}} = 1.5{\text{ μm}}$

    Figure  11.  The effects of the length scale parameter ratios of ceramic and metal on the dimensionless frequencies of microbeams (${h_{\rm{L}}} = 3{\text{ μm}}$$L = 20{h_{\rm{L}}}$$P_x = P_z = 1$${c_h} = {c_b} = 0.2$${l_{\rm{m}}} = 1.5{\text{ μm}}$)

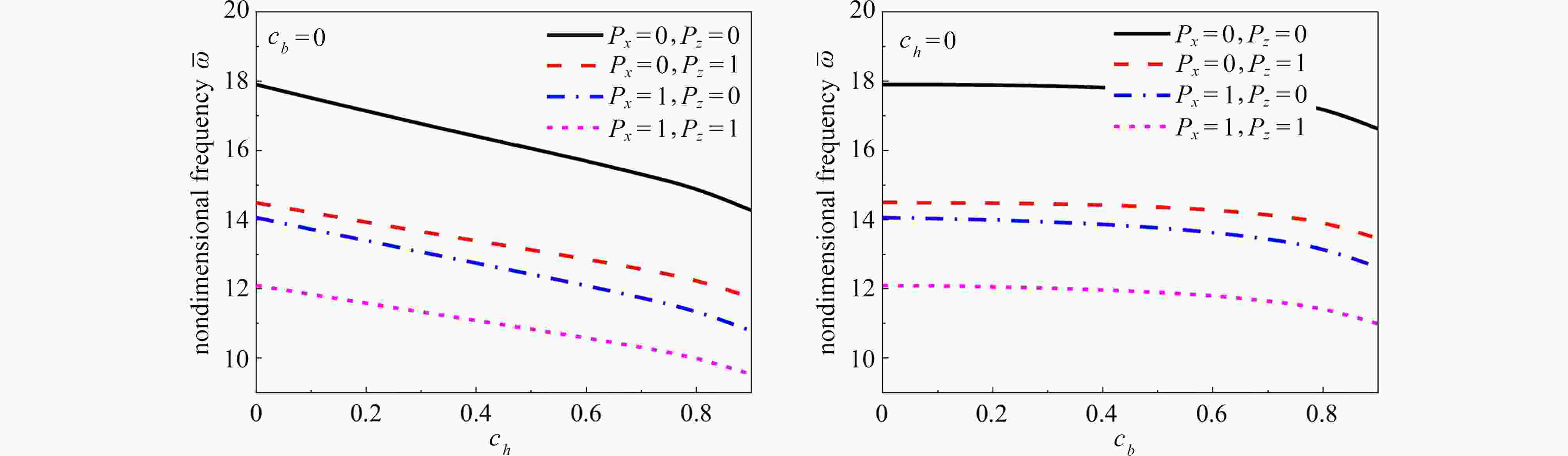
    图  12  两端固支(C-C)微梁的临界屈曲载荷随功能梯度指数和轴向功能梯度指数的变化情况($L = 20{h_{\rm{L}}}$${l_{\rm{c}}} = {l_{\rm{m}}} = 1.5{\text{ μm}}$${c_h} = {c_b} = 0.2$

    Figure  12.  The effects of the functionally graded indexes on the critical buckling loads of microbeams ($L = 20{h_{\rm{L}}}$${l_{\rm{c}}} = {l_{\rm{m}}} = 1.5{\text{ μm}}$${c_h} = {c_b} = 0.2$

    表  1  不同边界条件时p1, p2, s1, s2t1, t2的取值

    Table  1.   Values of p1p2s1s2 and t1t2 with different boundary conditions

    p1p2s1s2t1t2
    C-C112211
    H-H111100
    F-F000000
    C-H112110
    H-C111201
    C-F102010
    F-C010201
    下载: 导出CSV

    表  2  二维功能梯度等截面微梁无量纲频率的收敛性分析(${h_{\rm{L}}} = 1.5\;{\text{μm}}$$L = 20{h_{\rm{L}}}$${c_h} = {c_b} = 0$${l_{\rm{c}}} = {l_{\rm{m}}} = 1.5\;{\text{μm}}$

    Table  2.   Convergence analysis of dimensionless frequencies of the 2D functionally graded equal-cross-section microbeam(${h_{\rm{L}}} = 1.5\;{\text{μm}}$$L = 20{h_{\rm{L}}}$${c_h} = {c_b} = 0$${l_{\rm{c}}} = {l_{\rm{m}}} = {\text{1.5}}\;{\text{μ}} {\rm{m}}$

    ${n_{\rm{t}}}$$P_x = P_z = 0$$P_x = 0,\; P_z = 1$$P_x = 1,\;P_z = 0$$P_x = P_z = 1$
    628.594023.691122.449819.5610
    828.583823.682922.436319.5521
    1028.579923.679522.430719.5484
    1228.578523.678322.428619.5471
    1428.578123.677922.427919.5466
    1628.578023.677822.427719.5465
    1828.577923.677722.427619.5464
    下载: 导出CSV

    表  3  基于本文模型的宏观功能梯度等截面梁无量纲频率与文献[34]中结果的对比($h = 1{\text{ m}}$

    Table  3.   Comparison of dimensionless frequencies of macro traditional equal-cross-section FG beams with ref.[34] ($h = 1{\text{ m}}$)

    BCL/hmodelPz
    012510
    C-F5present1.894721.462961.333721.264411.22393
    ref. [34]1.894791.463001.333761.264451.22398
    20present1.949571.501041.369681.303741.26494
    ref. [34]1.949571.501041.369681.303751.26495
    C-C5present10.01987.915207.202106.657776.33031
    ref. [34]10.03447.925297.211346.667646.34062
    20present12.22269.430808.603508.169217.91202
    ref. [34]12.22359.431358.604018.169857.91275
    下载: 导出CSV

    表  4  基于本文模型的宏观均质锥形梁前三阶无量纲频率与文献[35]中结果的对比(C-F边界,$ P_z =P_x =0 $,此算例中$\tilde \omega {\text{ = }}\omega {L^2}\sqrt {{{{\rho _{\rm{c}}}{A_{\rm{L}}}}/ ({{E_{\rm{c}}}{I_{\rm{L}}}})}} $${A_{\rm{L}}} = {h_{\rm{L}}}{b_{\rm{L}}}$${I_{\rm{L}}} = {{{b_{\rm{L}}}{h_{\rm{L}}}^3}/{12}}$

    Table  4.   Comparison of the 1st 3 order dimensionless frequencies of macro traditional tapered beams with ref.[35] (in this case:C-F boundary condition,$ P_z =P_x =0 $$\tilde \omega {\text{ = }}\omega {L^2}\sqrt {{{{\rho _{\rm{c}}}{A_{\rm{L}}}} /({{E_{\rm{c}}}{I_{\rm{L}}}})}}$${A_{\rm{L}}} = {h_{\rm{L}}}{b_{\rm{L}}}$${I_{\rm{L}}} = {{{b_{\rm{L}}}{h_{\rm{L}}}^3}/{12}}$)

    cbmodelch=0chmodelcb=0
    ${\tilde \omega _1}$${\tilde \omega _2}$${\tilde \omega _3}$${\tilde \omega _1}$${\tilde \omega _2}$${\tilde \omega _3}$
    0present3.509021.737359.78040present3.509021.737359.7804
    ref. [35]3.516022.034561.6972ref. [35]3.516022.034561.6972
    0.4present4.087922.806860.82140.4present3.730718.940549.3059
    ref. [35]4.097023.118662.7763ref. [35]3.737119.113850.3537
    0.8present5.382925.296963.66080.8present4.286315.662236.4756
    ref. [35]5.397625.655865.7470ref. [35]4.292515.742736.8855
    下载: 导出CSV
  • [1] SINA S, NAVAZI H M, HADDADPOUR H. An analytical method for free vibration analysis of functionally graded beams[J]. Materials and Design, 2009, 30(3): 741-747. doi: 10.1016/j.matdes.2008.05.015
    [2] ALSHORBAGY A E, ELTAHER M A, MAHMOUD F. Free vibration characteristics of a functionally graded beam by finite element method[J]. Applied Mathematical Modelling, 2011, 35(1): 412-425. doi: 10.1016/j.apm.2010.07.006
    [3] ŞIMŞEK M. Vibration analysis of a functionally graded beam under a moving mass by using different beam theories[J]. Composite Structures, 2010, 92(4): 904-917. doi: 10.1016/j.compstruct.2009.09.030
    [4] AYDOGDU M. Semi-inverse method for vibration and buckling of axially functionally graded beams[J]. Journal of Reinforced Plastics and Composites, 2008, 27(7): 683-691. doi: 10.1177/0731684407081369
    [5] 王伟斌, 杨文秀, 滕兆春. 多孔功能梯度材料Timoshenko梁的自由振动分析[J]. 计算力学学报, 2021, 5: 1-13 doi: 10.7511/jslx20200311001

    WANG Weibin, YANG Wenxiu, TENG Zhaochun. Free vibration analysis of porous functionally graded materials Timoshenko beam[J]. Chinese Journal of Computational Mechanics, 2021, 5: 1-13.(in Chinese) doi: 10.7511/jslx20200311001
    [6] 蒲育, 周凤玺. FGM梁临界屈曲载荷的改进型GDQ法分析[J]. 应用基础与工程科学学报, 2019, 27(6): 1308-1320 doi: 10.16058/j.issn.1005-0930.2019.06.011

    PU Yu, ZHOU Fengxi. Critical buckling loads analysis of FGM beams by a modified generalized differential quadrature method[J]. Journal of Basic Science Engineering, 2019, 27(6): 1308-1320.(in Chinese) doi: 10.16058/j.issn.1005-0930.2019.06.011
    [7] 马连生, 贾金政. 机械载荷作用下功能梯度梁的过屈曲分析[J]. 兰州理工大学学报, 2020, 46(3): 160-164 doi: 10.3969/j.issn.1673-5196.2020.03.029

    MA Liansheng, JIA Jinzheng. Analysis of mechanical postbuckling behavior of functionally graded beams[J]. Journal of Lanzhou University of Technology, 2020, 46(3): 160-164.(in Chinese) doi: 10.3969/j.issn.1673-5196.2020.03.029
    [8] 葛仁余, 张金轮, 韩有民, 等. 功能梯度变截面梁自由振动和稳定性研究[J]. 应用力学学报, 2017, 34(5): 875-880, 1012

    GE Renyu, ZHANG Jinlun, HAN Youmin, et al. Free vibration and stability of axially functionally graded beams with variable cross-section[J]. Chinese Journal of Applied Mechanics, 2017, 34(5): 875-880, 1012.(in Chinese)
    [9] 杜运兴, 程鹏, 周芬. 变截面功能梯度Timoshenko梁的自由振动分析[J]. 湖南大学学报(自然科学版), 2021, 48(5): 55-62.

    DU Yunxing, CHENG Peng, ZHOU Fen. Free vibration analysis of functionally graded Timoshenko beams with variable section[J]. Journal of Hunan University(Natural Sciences), 2021, 48(5): 55-62.(in Chinese)
    [10] LÜ C, LIM C W, CHEN W. Size-dependent elastic behavior of FGM ultra-thin films based on generalized refined theory[J]. International Journal of Solids and Structures, 2009, 46(5): 1176-1185. doi: 10.1016/j.ijsolstr.2008.10.012
    [11] SHAAT M, MAHMOUD F, ALSHORBAGY A E, et al. Finite element analysis of functionally graded nano-scale films[J]. Finite Elements in Analysis and Design, 2013, 74: 41-52. doi: 10.1016/j.finel.2013.05.012
    [12] FLECK N A, MULLER G M, ASHBY M F, et al. Strain gradient plasticity: theory and experiment[J]. Acta Metallurgica et Materialia, 1994, 42(2): 475-487. doi: 10.1016/0956-7151(94)90502-9
    [13] LAM D C C, MULLER G M, ASHBY M F, et al. Experiments and theory in strain gradient elasticity[J]. Journal of the Mechanics and Physics of Solids, 2003, 51(8): 1477-1508. doi: 10.1016/S0022-5096(03)00053-X
    [14] LEI J, HE Y, GUO S, et al. Size-dependent vibration of nickel cantilever microbeams: experiment and gradient elasticity[J]. AIP Advances, 2016, 6(10): 105202. doi: 10.1063/1.4964660
    [15] LI Z, HE Y, GUO S, et al. A standard experimental method for determining the material length scale based on modified couple stress theory[J]. International Journal of Mechanical Sciences, 2018, 141: 198-205. doi: 10.1016/j.ijmecsci.2018.03.035
    [16] ERINGEN A C, EDELEN D. On nonlocal elasticity[J]. International Journal of Engineering Science, 1972, 10(3): 233-248. doi: 10.1016/0020-7225(72)90039-0
    [17] YANG F, CHONG A C M, LAM D C C, et al. Couple stress based strain gradient theory for elasticity[J]. International Journal of Solids and Structures, 2002, 39(10): 2731-2743. doi: 10.1016/S0020-7683(02)00152-X
    [18] ASGHARI M, CHONG M C, LAM D C C, et al. On the size-dependent behavior of functionally graded micro-beams[J]. International Journal of Solids and Structure, 2010, 31(5): 2324-2329.
    [19] REDDY J N. Microstructure-dependent couple stress theories of functionally graded beams[J]. Journal of the Mechanics and Physics of Solids, 2011, 59(11): 2382-2399. doi: 10.1016/j.jmps.2011.06.008
    [20] ŞIMŞEK M J, REDDY J N. Bending and vibration of functionally graded microbeams using a new higher order beam theory and the modified couple stress theory[J]. International Journal of Engineering Science, 2013, 64: 37-53. doi: 10.1016/j.ijengsci.2012.12.002
    [21] AL-BASYOUNI K S, TOUNSI A, MAHMOUD S R. Size dependent bending and vibration analysis of functionally graded micro beams based on modified couple stress theory and neutral surface position[J]. Composite Structures, 2015, 125: 621-630. doi: 10.1016/j.compstruct.2014.12.070
    [22] LEI Jian, HE Yuming, ZHANG Bo, et al. Bending and vibration of functionally graded sinusoidal microbeams based on the strain gradient elasticity theory[J]. International Journal of Engineering Science, 2013, 72: 36-52. doi: 10.1016/j.ijengsci.2013.06.012
    [23] LEI J, HE Y, ZHANG B, et al. Thermal buckling and vibration of functionally graded sinusoidal microbeams incorporating nonlinear temperature distribution using DQM[J]. Journal of Thermal Stresses, 2017, 40(6): 665-689. doi: 10.1080/01495739.2016.1258602
    [24] LEI J, HR M. Effect of nonlocal thermoelasticity on buckling of axially functionally graded nanobeams[J]. Journal of Thermal Stresses, 2019, 42(4): 526-539. doi: 10.1080/01495739.2018.1536866
    [25] 杨子豪, 贺丹. 考虑尺度依赖的平面正交各向异性功能梯度微梁的自由振动分析[J]. 复合材料学报, 2017, 34(10): 2375-2384 doi: 10.13801/j.cnki.fhclxb.20170228.003

    YANG Zihao, HE Dan. Size-dependent free vibration analysis of plane orthotropic functionally graded micro-beams[J]. Acta Materiae Compositae Sinica, 2017, 34(10): 2375-2384.(in Chinese) doi: 10.13801/j.cnki.fhclxb.20170228.003
    [26] EBRAHIMI F, BARATI M R. A nonlocal strain gradient refined beam model for buckling analysis of size-dependent shear-deformable curved FG nanobeams[J]. Composite Structures, 2017, 159: 174-182. doi: 10.1016/j.compstruct.2016.09.058
    [27] LEI J, GUO S, HE M, et al. Postbuckling analysis of bi-directional functionally graded imperfect beams based on a novel third-order shear deformation theory[J]. Composite Structures, 2019, 209: 811-829. doi: 10.1016/j.compstruct.2018.10.106
    [28] TANG Y, DING Q. Nonlinear vibration analysis of a bi-directional functionally graded beam under hygro-thermal loads[J]. Composite Structures, 2019, 225: 111076. doi: 10.1016/j.compstruct.2019.111076
    [29] BARATI A, HADI A, NORROZI R, et al. On vibration of bi-directional functionally graded nanobeams under magnetic field[J]. Mechanics Based Design of Structures and Machines, 2020, 50(2): 468-485.
    [30] HUANG Y, OUYANG Z Y. Exact solution for bending analysis of two-directional functionally graded Timoshenko beams[J]. Archive of Applied Mechanics, 2020, 90: 1005-1023. doi: 10.1007/s00419-019-01655-5
    [31] WATTANASAKULPONG N, UNGBHAKORN V. Linear and nonlinear vibration analysis of elastically restrained ends FGM beams with porosities[J]. Aerospace Science and Technology, 2014, 32(1): 111-120. doi: 10.1016/j.ast.2013.12.002
    [32] SHAFIEI N, MIRJAVADI S S, RABBY B, et al. Vibration of two-dimensional imperfect functionally graded (2D-FG) porous nano-/micro-beams[J]. Computer Methods in Applied Mechanics and Engineering, 2017, 322: 615-632. doi: 10.1016/j.cma.2017.05.007
    [33] ZHANG B, HE M, LIU D, et al. Size-dependent functionally graded beam model based on an improved third-order shear deformation theory[J]. European Journal of Mechanics A: Solids, 2014, 47: 211-230. doi: 10.1016/j.euromechsol.2014.04.009
    [34] ŞIMŞEK M. Fundamental frequency analysis of functionally graded beams by using different higher-order beam theories[J]. Nuclear Engineering and Design, 2010, 240(4): 697-705. doi: 10.1016/j.nucengdes.2009.12.013
    [35] AKGÖZ B, CIVALEK Ö. Free vibration analysis of axially functionally graded tapered Bernoulli-Euler microbeams based on the modified couple stress theory[J]. Composite Structures, 2013, 98: 314-322. doi: 10.1016/j.compstruct.2012.11.020
  • 加载中
图(12) / 表(4)
计量
  • 文章访问数:  1026
  • HTML全文浏览量:  523
  • PDF下载量:  112
  • 被引次数: 0
出版历程
  • 收稿日期:  2021-10-26
  • 修回日期:  2022-03-19
  • 网络出版日期:  2022-09-09
  • 刊出日期:  2022-10-31

目录

    /

    返回文章
    返回