• Scopus收录
  • CSCD来源期刊
  • 中文核心期刊

留言板

尊敬的读者、作者、审稿人, 关于本刊的投稿、审稿、编辑和出版的任何问题, 您可以本页添加留言。我们将尽快给您答复。谢谢您的支持!

姓名
邮箱
手机号码
标题
留言内容
验证码

具有Robin边界条件的时间分数阶扩散方程的源项辨识问题研究

崔建譞 石成鑫 柳冕 程浩

崔建譞,石成鑫,柳冕,程浩. 具有Robin边界条件的时间分数阶扩散方程的源项辨识问题研究 [J]. 应用数学和力学,2022,43(11):1303-1312 doi: 10.21656/1000-0887.430004
引用本文: 崔建譞,石成鑫,柳冕,程浩. 具有Robin边界条件的时间分数阶扩散方程的源项辨识问题研究 [J]. 应用数学和力学,2022,43(11):1303-1312 doi: 10.21656/1000-0887.430004
CUI Jianxuan, SHI Chengxin, LIU Mian, CHENG Hao. Source Identification for the Time-Fractional Diffusion Equation With Robin Boundary Conditions[J]. Applied Mathematics and Mechanics, 2022, 43(11): 1303-1312. doi: 10.21656/1000-0887.430004
Citation: CUI Jianxuan, SHI Chengxin, LIU Mian, CHENG Hao. Source Identification for the Time-Fractional Diffusion Equation With Robin Boundary Conditions[J]. Applied Mathematics and Mechanics, 2022, 43(11): 1303-1312. doi: 10.21656/1000-0887.430004

具有Robin边界条件的时间分数阶扩散方程的源项辨识问题研究

doi: 10.21656/1000-0887.430004
基金项目: 国家自然科学基金(11801221);江苏省自然科学基金(BK20190578)
详细信息
    作者简介:

    崔建譞(1998—),男,硕士生(E-mail:2979697403@qq.com

    石成鑫(1998—),男,硕士生(E-mail:1772065320@qq.com

    柳冕(1997—),男,硕士生(E-mail:819340002@qq.com

    程浩(1983—),男,副教授,硕士生导师(通讯作者. E-mail:chenghao@jiangnan.edu.cn

  • 中图分类号: O241.8

Source Identification for the Time-Fractional Diffusion Equation With Robin Boundary Conditions

  • 摘要:

    对Robin边界条件时间分数阶扩散方程的源项辨识问题进行了研究。这类问题是不适定的,因此提出了一种迭代型正则化方法,得到了源项辨识问题的正则近似解。给出了先验和后验参数选取规则下正则近似解和精确解之间的误差估计,数值算例验证了该方法的有效性。

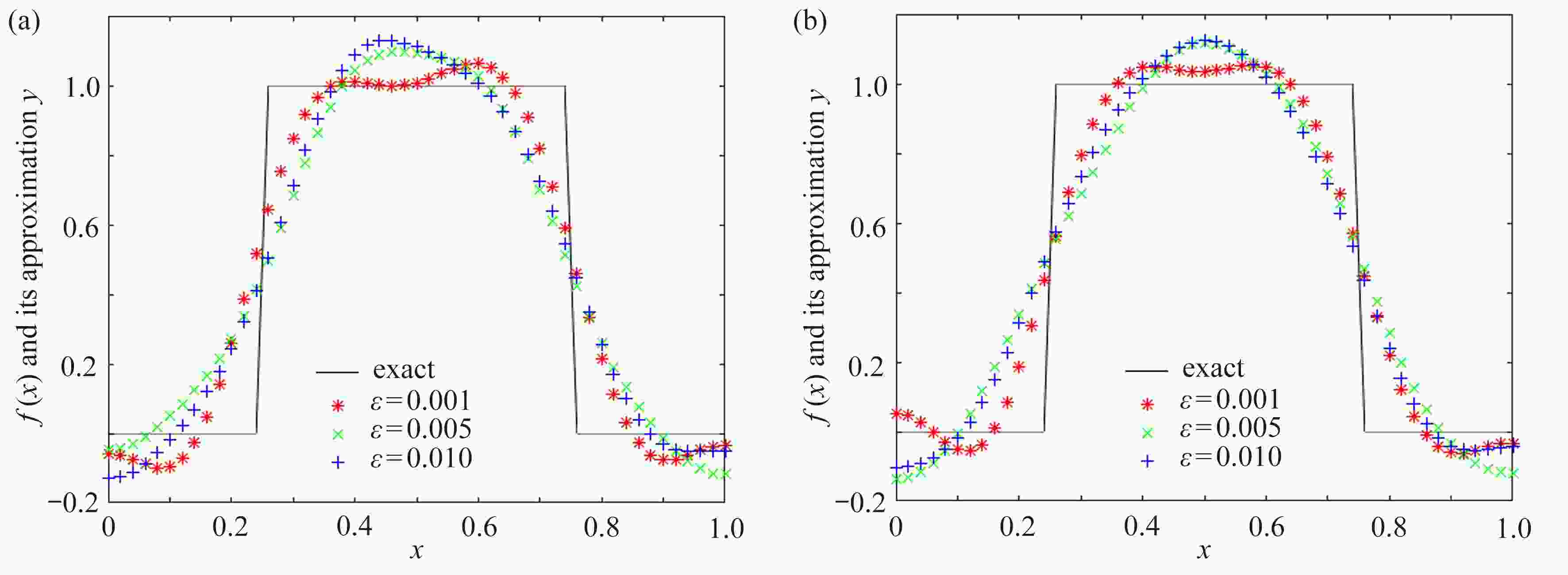
  • 图  1  算例1的精确解及其正则近似解:(a)先验规则;(b)后验规则

    Figure  1.  The exact solution and its regularized approximate solution of example 1: (a) the priori rule; (b) the posteriori rule

    图  2  算例2的精确解及其正则近似解:(a)先验规则;(b)后验规则

    Figure  2.  The exact solution and its regularized approximate solution of example 2: (a) the priori rule; (b) the posteriori rule

    图  3  算例3的精确解及其正则近似解:(a)先验规则;(b)后验规则

    Figure  3.  The exact solution and its regularized approximate solution of example 3: (a) the priori rule; (b) the posteriori rule

    表  1  算例1在不同误差水平下的绝对误差和相对误差

    Table  1.   Absolute errors and relative errors under different error levels of example 1

    $ \varepsilon $0.0010.0050.010
    $ e{(f,\varepsilon )_{{\text{priori}}}} $0.344 40.649 10.729 8
    $ {e_{\text{r}}}{(f,\varepsilon )_{{\text{priori}}}} $0.026 90.050 70.057 0
    $ e{(f,\varepsilon )_{{\text{posteriori}}}} $0.294 50.557 00.681 2
    $ {e_{\text{r}}}{(f,\varepsilon )_{{\text{posteriori}}}} $0.023 00.043 50.053 2
    下载: 导出CSV

    表  2  算例2在不同误差水平下的绝对误差和相对误差

    Table  2.   Absolute errors and relative errors under different error levels of example 2

    $ \varepsilon $0.0010.0050.010
    $ e{(f,\varepsilon )_{{\text{priori}}}} $0.200 90.343 50.531 3
    $ {e_{\text{r}}}{(f,\varepsilon )_{{\text{priori}}}} $0.049 20.084 10.130 1
    $ e{(f,\varepsilon )_{{\text{posteriori}}}} $0.197 70.299 00.368 4
    $ {e_{\text{r}}}{(f,\varepsilon )_{{\text{posteriori}}}} $0.048 40.073 20.090 2
    下载: 导出CSV

    表  3  算例3在不同误差水平下的绝对误差和相对误差

    Table  3.   Absolute errors and relative errors under different error levels of example 3

    $ \varepsilon $0.0010.0050.010
    $ e{(f,\varepsilon )_{{\text{priori}}}} $1.245 01.400 01.536 5
    $ {e_{\text{r}}}{(f,\varepsilon )_{{\text{priori}}}} $0.249 00.280 10.307 3
    $ e{(f,\varepsilon )_{{\text{posteriori}}}} $1.191 01.369 51.467 0
    $ {e_{\text{r}}}{(f,\varepsilon )_{{\text{posteriori}}}} $0.238 20.273 90.293 4
    下载: 导出CSV
  • [1] LUCHKO Y. Maximum principle and its application for the time-fractional diffusion equations[J]. Fractional Calculus and Applied Analysis, 2011, 14(1): 110-124. doi: 10.2478/s13540-011-0008-6
    [2] YAMAMOTO M. Weak solutions to non-homogeneous boundary value problems for time-fractional diffusion equations[J]. Journal of Mathematical Analysis and Applications, 2018, 460(1): 365-381. doi: 10.1016/j.jmaa.2017.11.048
    [3] LANGLANDS T A M, HENRY B I. The accuracy and stability of an implicit solution method for the fractional diffusion equation[J]. Journal of Computational Physics, 2005, 205(2): 719-736. doi: 10.1016/j.jcp.2004.11.025
    [4] ZHUANG P, LIU F. Implicit difference approximation for the time fractional diffusion equation[J]. Journal of Applied Mathematics and Computing, 2006, 22(3): 87-99. doi: 10.1007/BF02832039
    [5] DENG W H. Finite element method for the space and time fractional Fokker-Planck equation[J]. SIAM Journal on Numerical Analysis, 2009, 47(1): 204-226. doi: 10.1137/080714130
    [6] SONG F Y, XU C J. Spectral direction splitting methods for two-dimensional space fractional diffusion equations[J]. Journal of Computational Physics, 2015, 299: 196-214. doi: 10.1016/j.jcp.2015.07.011
    [7] ZHANG Y, XU X. Inverse source problem for a fractional diffusion equation[J]. Inverse Problems, 2011, 27(3): 035010. doi: 10.1088/0266-5611/27/3/035010
    [8] TUAN N H, LONG L D, THINH N V. Regularized solution of an inverse source problem for a time fractional diffusion equation[J]. Applied Mathematical Modelling, 2016, 40(19/20): 8244-8264.
    [9] WEI T, WANG J G. A modified quasi-boundary value method for an inverse source problem of the time-fractional diffusion equation[J]. Applied Numerical Mathematics, 2014, 78: 95-111. doi: 10.1016/j.apnum.2013.12.002
    [10] YANG F, LIU X, LI X X, et al. Landweber iterative regularization method for identifying the unknown source of the time-fractional diffusion equation[J]. Advances in Difference Equations, 2017, 2017: 388-403. doi: 10.1186/s13662-017-1423-8
    [11] WANG W, YAMAMOTO M, HAN B. Numerical method in reproducing kernel space for an inverse source problem for the fractional diffusion equation[J]. Inverse Problems, 2013, 29(9): 095009. doi: 10.1088/0266-5611/29/9/095009
    [12] PODLUBNY I. Fractional Differential Equations[M]. San Diego: Academic Press, 1999.
    [13] 顾樵. 数学物理方法[M]. 北京: 科学出版社, 2012.

    GU Qiao. Mathematical Methods for Physics[M]. Beijing: Science Press, 2012. (in Chinese)
    [14] MA Y K, PRAKASH P, DEIVEEGAN A. Generalized Tikhonov methods for an inverse source problem of the time-fractional diffusion equation[J]. Chaos, Solitons & Fractals, 2018, 108: 39-48.
    [15] KLANN E, RAMLAU R. Regularization by fractional filter methods and data smoothing[J]. Inverse Problems, 2008, 24(2): 025018. doi: 10.1088/0266-5611/24/2/025018
    [16] DENG Y, LIU Z. Iteration methods on sideways parabolic equations[J]. Inverse Problem, 2009, 25(9): 095004. doi: 10.1088/0266-5611/25/9/095004
    [17] KIRSCH A. An Introduction to the Mathematical Theory of Inverse Problem[M]. New York: Springer, 1996.
    [18] 于宁. 求解时间分数阶扩散方程反源问题的分数阶Landweber正则化方法[D]. 硕士学位论文. 济南: 山东大学, 2020.

    YU Ning. The fractional Landweber regularization method for solving inverse source problem of time-fractional diffusion equation[D]. Master Thesis. Jinan: Shandong University, 2020. (in Chinese)
    [19] 孙志忠, 高广花. 分数阶微分方程的有限差分方法[M]. 北京: 科学出版社, 2015.

    SUN Zhizhong, GAO Guanghua. Finite Difference Method for Fractional Differential Equation[M]. Beijing: Science Press, 2015. (in Chinese)
  • 加载中
图(3) / 表(3)
计量
  • 文章访问数:  988
  • HTML全文浏览量:  572
  • PDF下载量:  79
  • 被引次数: 0
出版历程
  • 收稿日期:  2022-01-04
  • 修回日期:  2022-02-10
  • 网络出版日期:  2022-10-11
  • 刊出日期:  2022-11-30

目录

    /

    返回文章
    返回