Numerical Simulation of the Solitary Wave Collision Process in Time Fractional Orders Based on the Coupled Pure Meshless Method
-
摘要:
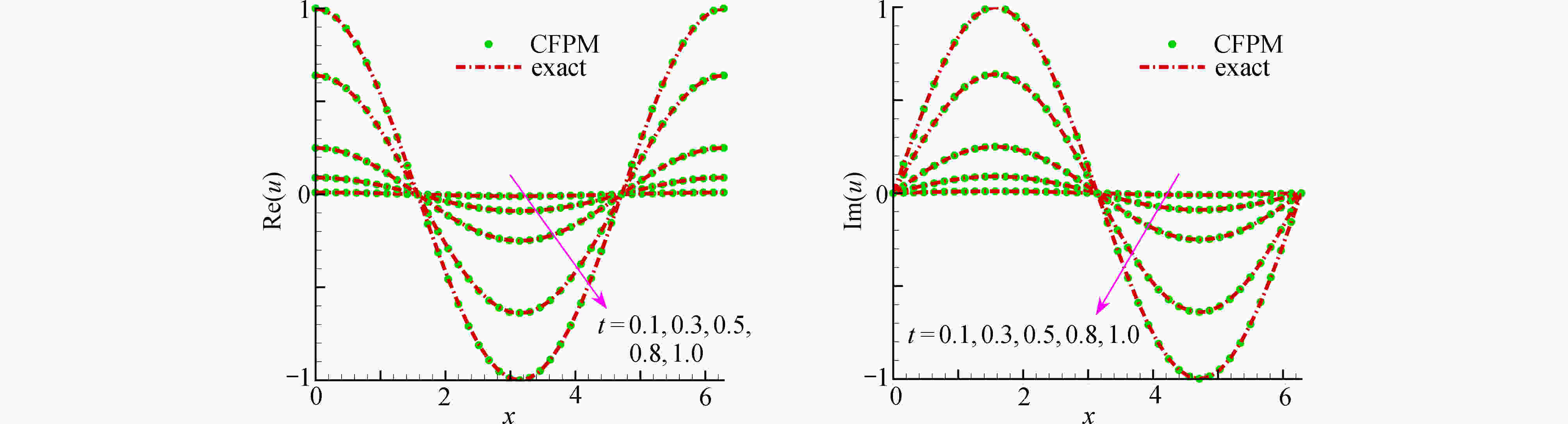
为数值预测时间分数阶耦合非线性Schrödinger (TF-CNLS)方程描述的孤立子波非弹性碰撞过程,首次发展了一种耦合纯无网格有限点集法(coupled finite pointset method, CFPM)。其构造过程为:1) 对时间分数阶Caputo导数项采用一种高精度的差分格式;2) 对空间导数采用基于Taylor展开和加权最小二乘法的有限粒子法(FPM)离散格式;3) 对区域进行局部加密和采用稳定性好的双曲余弦核函数以提高数值精度。数值研究中,首先,运用CFPM对有解析解的一维TF-CNLS方程进行求解,分析了节点均匀分布或局部加密情况下的误差和收敛阶,表明给出的耦合无网格法具有近似二阶精度和易局部加密求解的灵活性;其次,运用CFPM对无解析解一维TF-CNLS方程描述的孤立子波非弹性碰撞过程进行了数值预测,其出现的波塌缩现象与整数阶下出现的多波现象截然不同;最后,与有限差分结果作对比,表明CFPM数值预测时间分数阶下孤立子波非弹性碰撞过程的复杂传播现象是可靠的。
-
关键词:
- Caputo分数阶导数 /
- 差分法 /
- FPM /
- TF-CNLS /
- 孤立子波碰撞
Abstract:A coupled pure meshless finite pointset method (CFPM) was developed for the first time to numerically predict the inelastic collision process of solitary waves described with the time fractional coupled nonlinear Schrödinger (TF-CNLS) equation. Its construction process was formulated as: 1) a high-precision difference scheme was used for the Caputo time fractional derivative; 2) the FPM discrete scheme based on the Taylor expansion and the weighted least square method was adopted for spatial derivatives; 3) the region was locally refined and the double cosine kernel function with good stability was used to improve the numerical accuracy. In the numerical study, the 1D TF-CNLS equations were analytically solved with the CFPM, and the errors and convergence rates were analyzed with the nodes uniformly distributed or locally refined, which shows that the proposed method has the approximate 2nd-order accuracy and the flexibility of easy local refinement. Secondly, the inelastic collision process of solitary waves, which was described with the 1D TF-CNLS equation without analytical solutions, was numerically predicted with the CFPM, and the wave collapse phenomenon is completely different from the multi-wave phenomenon in the integer order. Meanwhile, the comparison of the results with those from the finite difference method shows that, the CFPM is reliable to predict the complex propagation of the inelastic collision process of the solitary waves in the time fractional order.
-
Key words:
- Caputo fractional derivative /
- difference method /
- FPM /
- TF-CNLS /
- solitary wave collision
-
表 1 α=0.9,t=1.0时刻下的RMS误差和收敛阶
Table 1. The RMS errors and convergence rates with α=0.9 at t=1.0
parameter N=21 N=41 N=81 ERMS(Im(u)) 4.121 9E−3 1.100 9E−3 2.945 9E−4 Cr − 1.90 1.90 ERMS(Re(u)) 5.256 1E−3 1.404 5E−3 3.765 2E−4 Cr − 1.90 1.90 ERMS(|u|) 6.682 5E−3 1.784 5E−3 4.778 9E−4 Cr − 1.90 1.90 表 2 α=0.7,t=1.0时刻下的RMS误差和收敛阶
Table 2. The RMS errors and convergence rates with α=0.7 at t=1.0
parameter N=21 N=41 N=81 ERMS(Im(u)) 6.521 3E−3 1.769 0E−3 4.798 5E−4 Cr − 1.88 1.88 ERMS(Re(u)) 8.431 1E−3 2.292 4E−3 6.219 1E−4 Cr − 1.88 1.88 ERMS(|u|) 1.068 1E−2 2.895 5E−3 7.852 6E−4 Cr − 1.88 1.88 表 3 α=0.7时,不同时刻下均匀分布与局部加密情况下的RMS误差
Table 3. The RMS errors of uniform distribution and local refinement with α=0.7 at different moments
time 0.1 0.3 0.5 0.8 1.0 uniform distribution 1.191 6E−5 2.160 5E−4 7.279 3E−4 1.381 2E−3 2.895 5E−3 local refinement 1.110 6E−5 2.031 0E−4 7.092 2E−4 1.151 2E−3 2.571 2E−3 -
[1] BANDRAUK A D, SHEN H. High-order split-step exponential methods for solving coupled nonlinear Schrödinger equations[J]. Journal of Physics A: Mathematical and General, 1994, 27(21): 7147-7155. doi: 10.1088/0305-4470/27/21/030 [2] CAI J X. Multisymplectic schemes for strongly coupled Schrödinger system[J]. Applied Mathematics and Computation, 2010, 216(8): 2417-2429. doi: 10.1016/j.amc.2010.03.087 [3] DEHGHAN M, TALEEI A. A Chebyshev pseudospectral multidomain method for the soliton solution of coupled nonlinear Schrödinger equations[J]. Computer Physics Communications, 2011, 182(12): 2519-2529. doi: 10.1016/j.cpc.2011.07.009 [4] TANG Y N, ZHOU J L. Mixed interaction solutions for the coupled nonlinear Schrödinger equations[J]. Modern Physics Letters B, 2021, 35(10): 2150004. doi: 10.1142/S0217984921500044 [5] LASKIN N. Fractional quantum mechanics[J]. Physical Review E, 2000, 62: 3135-3145. doi: 10.1103/PhysRevE.62.3135 [6] LASKIN N. Fractional Schrödinger equation[J]. Physical Review E, 2002, 66: 56108. doi: 10.1103/PhysRevE.66.056108 [7] MAO Z P, KARNIADAKIS G E. A spectral method (of exponential convergence) for singular solutions of the diffusion equation with general two-sided fractional derivative[J]. SIAM Journal on Numerical Analysis, 2018, 56(1): 24-49. doi: 10.1137/16M1103622 [8] 黄凤辉, 郭柏灵. 一类时间分数阶偏微分方程的解[J]. 应用数学和力学, 2010, 31(7): 781-790 doi: 10.3879/j.issn.1000-0887.2010.07.003HUANG Fenghui, GUO Boling. General solution for a class of time fractional partial differential equation[J]. Applied Mathematics and Mechanics, 2010, 31(7): 781-790.(in Chinese) doi: 10.3879/j.issn.1000-0887.2010.07.003 [9] CHEN M N, ZENG S H, LU D Q, et al. Optical solitons, self-focusing, and wave collapse in a space-fractional Schrödinger equation with a Kerr-type nonlinearity[J]. Physical Review E, 2018, 98(2): 22211. doi: 10.1103/PhysRevE.98.022211 [10] CAI W T, HE D D, PAN K J. A linearized energy-conservative finite element method for the nonlinear Schrödinger equation with wave operator[J]. Applied Numerical Mathematics, 2019, 140: 183-198. doi: 10.1016/j.apnum.2019.02.005 [11] DAI P F, WU Q B. An efficient block Gauss-Seidel iteration method for the space fractional coupled nonlinear Schrödinger equations[J]. Applied Mathematics Letters, 2021, 117: 107116. doi: 10.1016/j.aml.2021.107116 [12] CASTILLO P, GOMEZ S. Conservative local discontinuous Galerkin methods for a generalized system of strongly coupled nonlinear Schrödinger equations[J]. Communications in Nonlinear Science and Numerical Simulation, 2021, 99: 105836. doi: 10.1016/j.cnsns.2021.105836 [13] 张小华, 邓霁恒. 三维稳态对流扩散问题的无网格求解算法研究[J]. 应用数学和力学, 2014, 35(11): 1249-1258 doi: 10.3879/j.issn.1000-0887.2014.11.008ZHANG Xiaohua, DENG Jiheng. Research on the meshless solving algorithm for 3D steady convection-diffusion problems[J]. Applied Mathematics and Mechanics, 2014, 35(11): 1249-1258.(in Chinese) doi: 10.3879/j.issn.1000-0887.2014.11.008 [14] RESENDIZ-FLORES E O, SAUCEDO-ZENDEJO F R. Numerical simulation of coupled fluid flow and heat transfer with phase change using the finite pointset method[J]. International Journal of Thermal Sciences, 2018, 133: 13-21. doi: 10.1016/j.ijthermalsci.2018.07.008 [15] TIWARI S, KUHNERT J. Finite Pointset Method Based on the Projection Method for Simulations of the Incompressible Navier-Stokes Equations[M]. Berlin: Springer, 2003. [16] LOVOIE J L, OSLER T J, TREMBLAY R. Fractional derivatives and special functions[J]. SIAM Review, 1976, 18(2): 240-268. doi: 10.1137/1018042 [17] YANG X F, PENG S L, LIU M B. A new kernel function for SPH with applications to free surface flows[J]. Applied Mathematical Modelling, 2014, 38(15/16): 3822-3833. [18] DENG W H. Finite element method for the space and time fractional Fokker-Planck equation[J]. SIAM Journal on Numerical Analysis, 2009, 47(1): 204-226. doi: 10.1137/080714130 [19] GAO G H, SUN Z Z, ZHANG H W. A new fractional numerical differentiation formula to approximate the Caputo fractional derivative and its applications[J]. Journal of Computational Physics, 2014, 259: 33-50. doi: 10.1016/j.jcp.2013.11.017 [20] LIU M B, LIU G R. Smoothed particle hydrodynamics (SPH): an overview and recent developments[J]. Archives of Computational Methods in Engineering, 2010, 17: 25-76. doi: 10.1007/s11831-010-9040-7 [21] WEI L L, ZHANG X D, KUMAR S, et al. A numerical study based on an implicit fully discrete local discontinuous Galerkin method for the time-fractional coupled Schrödinger system[J]. Computers & Mathematics With Applications, 2012, 64(8): 2603-2615. [22] HICDURMAZ B. Finite difference method for a nonlinear fractional Schrödinger equation with Neumann condition[J]. E-Journal of Analysis and Applied Mathematics, 2020(1): 67-80. -
下载:
渝公网安备50010802005915号