• Scopus收录
  • CSCD来源期刊
  • 中文核心期刊

留言板

尊敬的读者、作者、审稿人, 关于本刊的投稿、审稿、编辑和出版的任何问题, 您可以本页添加留言。我们将尽快给您答复。谢谢您的支持!

姓名
邮箱
手机号码
标题
留言内容
验证码

2026年  第47卷  第1期

主编按语
桥仍在,河向前
卢天健
2026, 47(1): i-iv.
摘要(246) HTML (99) PDF(84)
摘要:
第八届“钱令希计算力学青年奖”特邀论文
面向异形结构的共形点阵变密度调控设计方法
罗玮, 冯少军, 郝鹏, 霍泽凯, 高勇, 焦世坤
2026, 47(1): 1-14. doi: 10.21656/1000-0887.460062
摘要(278) HTML (137) PDF(59)
摘要:
针对异形承载结构中存在的共形点阵建模填充复杂、大规模单胞导致设计变量激增、优化困难的问题,提出了一种基于函数描述的共形点阵变密度调控设计方法. 通过发展基于网格变形的共形点阵参数化建模方法,可实现异形结构的点阵快速填充;进一步提出了基于分段三次Hermite插值多项式的点阵单胞尺寸调控方法和基于代理模型的点阵杆径调控方法,可实现点阵的精细调控和设计变量降维;在此基础上,建立了基于自适应更新动态代理模型的点阵结构优化设计框架,实现了点阵调控参数的快速优化设计. 通过两个工程算例开展了算例验证,包括火箭有效载荷适配器应变能优化、飞行器异形承载舱段结构屈曲优化,综合计算结果表明了所提方法对于不同问题的有效性.
交叉力学
基于文献计量学的近场动力学研究的演进、热点和趋势分析
顾鑫, 勾文千, 黄丹, 章青
2026, 47(1): 15-31. doi: 10.21656/1000-0887.460132
摘要(436) HTML (148) PDF(82)
摘要:
近场动力学(peridynamics, PD)是一种积分型非局部连续介质力学理论,适用于固体材料和结构在复杂载荷作用下的损伤-断裂-破坏问题分析,也被拓展至扩散传输问题、流体力学问题、热-电-磁-湿-力-化等多物理化学耦合问题分析. 近年来,近场动力学研究维度更加多元化,研究深度持续加强,应用广度不断延展. 该文试图从文献分析的角度,基于文献计量学的统计分析方法和可视化文本挖掘工具CiteSpace,梳理近场动力学研究的发展演进历史、当前的研究热点和未来的研究趋势. 近场动力学研究可分为萌芽期、缓慢增长期、快速增长期,研究主力国家为中国、美国、英国、德国、意大利、土耳其等,美国在诸多领域具备领先优势,中国的研究增速最快,中国在近场动力学领域的研究已由“跟跑”转向“并跑”甚至在部分领域实现“领跑”. 研究热点主要包括近场动力学的理论建模、数值算法和固体动态裂纹扩展以及剧烈破碎问题,弹塑性/大变形问题、热力耦合为代表的多物理场耦合问题、流固耦合问题、非均质材料的多尺度和均匀化建模、近场动力学与其他方法混合建模、高性能计算、近场动力学与各种机器学习方法的结合等,这些也仍将是未来研究人员关注的焦点.
基于数值模拟和决策树回归的金属切削力学性能预测
程一晋, 冯志强, 李燕
2026, 47(1): 32-45. doi: 10.21656/1000-0887.460102
摘要(164) HTML (98) PDF(44)
摘要:
快速预测金属切削的各种力学性能对工业制造的优化设计和产能提高十分关键. 当前相关预测模型通常需要昂贵且耗时的实验和分析过程. 构建了一种基于金属切削模拟和决策树回归(decision tree regression, DTR)的预测模型,用于获取不同切削工况下的力学性能. 首先,采用自适应光滑粒子流体动力学(adaptive smoothed particle hydrodynamics, ASPH)模拟金属切削过程,捕获了不同模拟参数下的多种力学性能,组成2 000种切削工况的模拟数据集;其次,利用DTR算法学习模拟数据集,训练和构建金属切削预测模型,并通过交叉验证和网格搜索评估了不同剪枝策略下预测模型的效果. 结果表明,建立的预测模型可以快速地预测不同模拟参数下的多种力学性能,适宜的剪枝策略可以提升预测模型的准确度、泛化能力和稳定性.
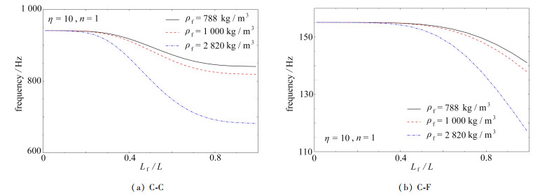
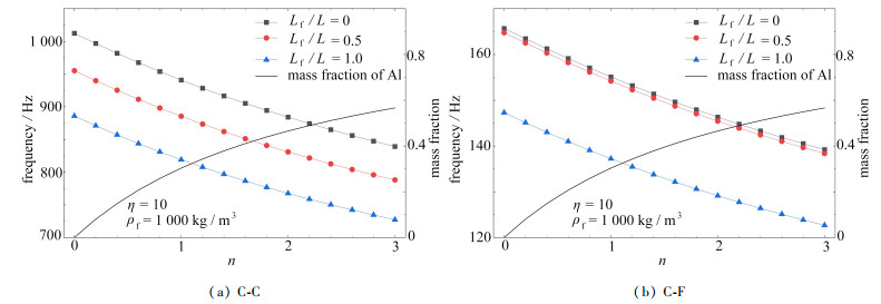
功能梯度材料圆柱杆浸入流体中的横振动
聂千钧, 李联和
2026, 47(1): 46-56. doi: 10.21656/1000-0887.450327
摘要(189) HTML (89) PDF(41)
摘要:
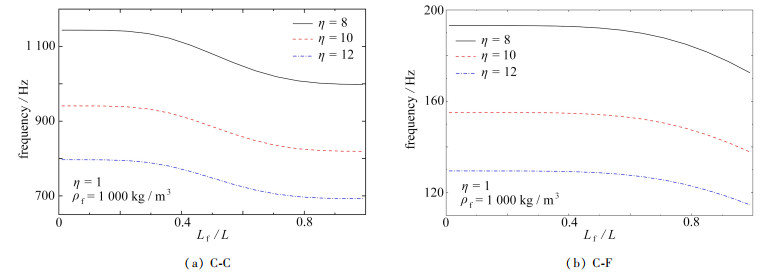
基于一阶剪切变形理论(FSDT)和势流理论,对浸没于流体中的功能梯度材料(FGM)圆柱杆进行了横振动分析. 以径向梯度指标表征金属陶瓷杆的材料性能沿径向服从幂律分布,利用分离变量法求解柱坐标系下Laplace方程,确定了流体速度势和流体动力荷载;利用Hamilton原理推导了控制方程,通过多域GDQ方法离散控制方程,结合直接迭代法计算基频与模态振型,采用CEL仿真辅助验证数值结果. 通过参数化研究,评估了长径比、梯度指标、端部边界条件以及流体深度和密度等对FGM杆-流体相互作用系统横振动行为的影响.
固体力学
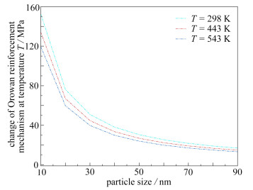
纳米颗粒增强金属基复合材料温度相关性屈服强度理论表征模型
王翊霖, 李卫国, 麻建坐
2026, 47(1): 57-67. doi: 10.21656/1000-0887.460044
摘要(232) HTML (131) PDF(41)
摘要:
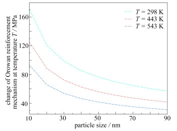
通过定量表征宽温域下,各强化机制对纳米颗粒增强金属基复合材料(nanoparticle reinforced metal matrix composites,NRMMCs)的屈服强度以及晶界滑移对金属基体屈服强度的影响,建立了不含拟合参数的NRMMCs温度相关性屈服强度理论表征模型.模型仅需金属基体任意一个参考温度下的屈服强度及相关材料参数,如比热容、热膨胀系数、熔点等,即可预测NRMMCs在任意温度下的屈服强度.模型预测结果与目前获取到的四组所有实验数据均取得了良好的一致性,实现了对NRMMCs宽温域屈服强度的合理预测.在此基础上,探讨了主要强化机制对NRMMCs屈服强度的影响及其随温度和颗粒尺寸的演化规律,为设计和开发适用于宽温域下的NRMMCs提供了理论依据和有效建议.
LCR波法的有效检测深度及厚度非均布应力表征方法研究
张春利, 马楠楠, 翁艺林, 朱军, 陈伟球
2026, 47(1): 68-78. doi: 10.21656/1000-0887.460057
摘要(201) HTML (102) PDF(41)
摘要:
临界折射纵(longitudinal critically refracted wave,简记LCR)波法在结构应力的无损检测中具有显著优势.然而,LCR波法目前还缺少符合物理意义、能够有效表征深度-入射波激励频率的解析关系,并且无法适用于构件内沿厚度方向非均匀分布应力的测量.为此,导出了LCR波法测量构件应力分布的有效检测深度与入射波激励频率的解析表达式,提出了一种基于LCR波法测量构件非均匀应力场的逐级差值算法,并通过数值仿真验证了该算法在非均匀应力测量中的有效性.
均匀热流作用下考虑表面效应的非圆形纳米孔的级数解
张雨, 赵婕燕, 杨海兵
2026, 47(1): 79-89. doi: 10.21656/1000-0887.450308
摘要(179) HTML (96) PDF(43)
摘要:
该文研究了均匀远场热流作用下单个非圆形纳米孔的二维平面问题.为考察微观尺度下表面声子散射对热传导的影响,该文引入了考虑温度跳跃的弱热传导模型,并利用完整的Gurtin-Murdoch低阶表面能模型来表征表面效应的影响.基于复变函数理论和级数展开,通过保角映射技术定义了纳米孔的几何形状,从而得到了不同孔型对应的温度场和热应力场的级数解.通过对一些非圆形纳米孔的数值算例进行分析,研究了表面效应对热应力场的影响.结果表明:考虑表面效应将显著增加纳米孔附近的热应力,并且表面弹性和表面张力的共同作用在决定热应力大小中起到了关键作用.
应用数学
交叉扩散和双Allee效应驱动下捕食-猎物系统的斑图演化
阳锋, 肖敏, 杨正午, 段代凤, 杨鑫松, 曹进德
2026, 47(1): 90-100. doi: 10.21656/1000-0887.460002
摘要(212) HTML (105) PDF(45)
摘要:
考虑了Holling-Ⅱ型功能反应项和改进的Leslie-Gower项,建立了具有双Allee效应的交叉扩散捕食-猎物模型,分析了无扩散系统下正平衡点的存在性和稳定性,给出了有扩散项作用下发生Turing不稳定的条件.同时重点研究了双Allee效应对斑图形成、结构改变和演化速度的影响机制.研究发现:在扩散驱动系统稳定的情况下,Allee效应能够诱导斑图的形成;在扩散驱动系统不稳定的情况下,Allee效应能够实现斑图结构的改变.此外,在不同的Allee效应系数下,系统到达稳定纯色斑图和稳定混色斑图的时间各不同,即Allee效应能够改变斑图的演化速度.因此,双Allee效应在捕食-猎物系统中对Turing斑图的形成和演化具有至关重要的作用.
一类具有不确定参数的比例时滞忆阻神经网络的全局指数同步
郭昱贤, 周立群
2026, 47(1): 101-112. doi: 10.21656/1000-0887.460008
摘要(225) HTML (106) PDF(46)
摘要:
研究了一类具有不确定参数的比例时滞忆阻神经网络的全局指数同步.首先,建立了驱动-响应系统的误差系统.其次,通过引入指数函数,设计了自适应控制器,根据系统切换跳的特征将误差系统分为四种情况进行分类讨论,构造适当的Lyapunov泛函,并结合均值不等式,得到了保证所研究系统全局指数同步的判定准则.同时考虑了全局指数同步退化为全局渐近同步的情况.最后,通过数值算例及仿真验证了所得准则的有效性.
非线性波动方程的高效保能量数值算法
谢建强, 汪灿
2026, 47(1): 113-122. doi: 10.21656/1000-0887.460090
摘要(222) HTML (102) PDF(52)
摘要:
将降阶法、Lagrange乘子方法和紧致差分法相结合,对非线性波动方程建立一个时间二阶和空间四阶收敛精度的保能量数值算法,证明所提算法保持原始能量守恒性质,并给出相应算法的计算步骤.数值算例验证所提算法的正确性和有效性.
封面及目录
封面及目录
2026, 47(1).
摘要(231) PDF(44)
摘要: