优先发表栏目展示本刊经同行评议确定正式录用的文章,这些文章目前处在编校过程,尚未确定卷期及页码,但可以根据DOI进行引用。
显示方式:
2025, 46(8): 947-958.
doi: 10.21656/1000-0887.460030
摘要:
复杂结构的设计迭代过程中,往往涉及大量的重建模与重分析,导致计算成本较高且耗时较长. 针对这一挑战,该文提出了一种融合几何与网格信息的仿真模型快速重构方法. 该方法通过精确捕捉复杂几何模型的结构特征并进行数字化表达,进而训练几何模型的特征信息驱动仿真模型进行自动重构. 首先,引入拟共形映射技术对复杂曲面进行平面参数化,通过栅格采样技术获取平面控制点,根据映射前后对应关系生成曲面控制点,作为结构特征的数字化表达;其次,利用径向基函数算法,对修改前后几何模型的控制点进行训练,通过网格映射技术实现对仿真模型的自动化重构. 最后,为了验证所提出方法的有效性,以飞机隔框结构作为典型算例进行研究. 与传统的仿真模型重构方法相比,最大应力误差仅为0.87%. 所需的人机操作步数减少95.40%,模型重构耗时减少96.67%. 结果表明,所提出方法在保证仿真精度的同时,显著降低了仿真模型重构的时间,实现了基于几何与网格模型映射孪生的快速设计.
复杂结构的设计迭代过程中,往往涉及大量的重建模与重分析,导致计算成本较高且耗时较长. 针对这一挑战,该文提出了一种融合几何与网格信息的仿真模型快速重构方法. 该方法通过精确捕捉复杂几何模型的结构特征并进行数字化表达,进而训练几何模型的特征信息驱动仿真模型进行自动重构. 首先,引入拟共形映射技术对复杂曲面进行平面参数化,通过栅格采样技术获取平面控制点,根据映射前后对应关系生成曲面控制点,作为结构特征的数字化表达;其次,利用径向基函数算法,对修改前后几何模型的控制点进行训练,通过网格映射技术实现对仿真模型的自动化重构. 最后,为了验证所提出方法的有效性,以飞机隔框结构作为典型算例进行研究. 与传统的仿真模型重构方法相比,最大应力误差仅为0.87%. 所需的人机操作步数减少95.40%,模型重构耗时减少96.67%. 结果表明,所提出方法在保证仿真精度的同时,显著降低了仿真模型重构的时间,实现了基于几何与网格模型映射孪生的快速设计.
2025, 46(8): 959-972.
doi: 10.21656/1000-0887.450152
摘要:
针对传统神经网络在处理时间依赖性动态过程和含噪数据时的不稳定性问题,提出了一种基于长短期记忆网络动态力重构方法. 测量响应信号经噪声污染后,被归一化为输入变量;而归一化的动态载荷则作为输出变量. 长短期记忆网络的实现方法被采用. 为了提高网络的泛化能力,不同类型的动力响应和原始载荷被定义为每个时刻的样本结构. 考虑区间不确定性,在传统配点法的基础上调整配点策略得到逐维法,在研究某一维度不确定性变量时固定其他维度,可以高精度地解决区间变量相互独立的不确定性载荷识别问题. 最后,采用数值算例与传统神经网络(BP神经网络)对比,表征长短期记忆网络在含噪数据的处理上更为稳定,设计试验证实了对于时间依赖性的数据,该方法的有效性和可行性.
针对传统神经网络在处理时间依赖性动态过程和含噪数据时的不稳定性问题,提出了一种基于长短期记忆网络动态力重构方法. 测量响应信号经噪声污染后,被归一化为输入变量;而归一化的动态载荷则作为输出变量. 长短期记忆网络的实现方法被采用. 为了提高网络的泛化能力,不同类型的动力响应和原始载荷被定义为每个时刻的样本结构. 考虑区间不确定性,在传统配点法的基础上调整配点策略得到逐维法,在研究某一维度不确定性变量时固定其他维度,可以高精度地解决区间变量相互独立的不确定性载荷识别问题. 最后,采用数值算例与传统神经网络(BP神经网络)对比,表征长短期记忆网络在含噪数据的处理上更为稳定,设计试验证实了对于时间依赖性的数据,该方法的有效性和可行性.
2025, 46(8): 973-982.
doi: 10.21656/1000-0887.450210
摘要:
针对航天运载火箭关键承载贮箱结构,提出了一种基于实测数据和模型的极限承载数字孪生构建方法. 首先,根据贮箱结构及制造工艺特征建立精细化有限元模型,对强度特性进行计算分析,并根据贮箱结构强度试验测点信息提取计算结果. 然后,对贮箱结构强度试验历史试验数据进行了处理分析,基于试验数据和仿真模型构建出贮箱结构承载数字孪生模型的训练数据集. 进一步,结合长短期记忆网络模型对孪生算法进行训练,实现了贮箱结构极限承载的预测. 最后,基于离线交互和在线交互模式,构建了贮箱结构极限承载数字孪生系统,有效提升了虚实试验能力和效率,降低了试验成本和风险.
针对航天运载火箭关键承载贮箱结构,提出了一种基于实测数据和模型的极限承载数字孪生构建方法. 首先,根据贮箱结构及制造工艺特征建立精细化有限元模型,对强度特性进行计算分析,并根据贮箱结构强度试验测点信息提取计算结果. 然后,对贮箱结构强度试验历史试验数据进行了处理分析,基于试验数据和仿真模型构建出贮箱结构承载数字孪生模型的训练数据集. 进一步,结合长短期记忆网络模型对孪生算法进行训练,实现了贮箱结构极限承载的预测. 最后,基于离线交互和在线交互模式,构建了贮箱结构极限承载数字孪生系统,有效提升了虚实试验能力和效率,降低了试验成本和风险.
2025, 46(8): 983-998.
doi: 10.21656/1000-0887.460055
摘要:
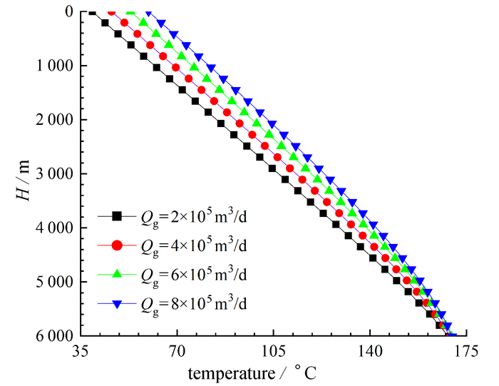
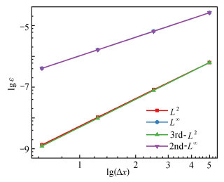
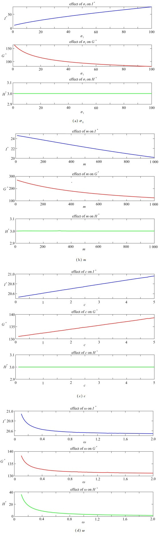
极端热环境条件下结构传热温度场的准确预测是评估装备热-力耦合性能的关键基础.数字孪生(digital twin)技术通过对观测数据与仿真模型的深度融合,可实现温度场的高精度动态重构.然而,考虑观测噪声、模型参数不确定性、边界条件扰动等多源不确定性因素的结构传热温度场预测数字孪生模型目前还不多见.该文基于Bayes推断框架,提出了一种结合随机传热分析的数据与模型融合方法,旨在构建考虑不确定性量化的热传导数字孪生模型.首先,在热传导方程中引入随机扰动热源项,以模拟未被原模型量化表征的不确定性因素;其次,采用随机有限元方法求解随机扰动热传导模型,获得包含物理信息的温度场先验分布;最后,基于Bayes法则,将含噪声的观测数据与模型预测先验分布进行融合,并针对Gauss分布情形推导出温度场后验分布的解析表达式.通过一维和二维热传导算例验证,所提方法不仅能够实现对温度场的高精度预测,还可有效量化预测结果的不确定性.
极端热环境条件下结构传热温度场的准确预测是评估装备热-力耦合性能的关键基础.数字孪生(digital twin)技术通过对观测数据与仿真模型的深度融合,可实现温度场的高精度动态重构.然而,考虑观测噪声、模型参数不确定性、边界条件扰动等多源不确定性因素的结构传热温度场预测数字孪生模型目前还不多见.该文基于Bayes推断框架,提出了一种结合随机传热分析的数据与模型融合方法,旨在构建考虑不确定性量化的热传导数字孪生模型.首先,在热传导方程中引入随机扰动热源项,以模拟未被原模型量化表征的不确定性因素;其次,采用随机有限元方法求解随机扰动热传导模型,获得包含物理信息的温度场先验分布;最后,基于Bayes法则,将含噪声的观测数据与模型预测先验分布进行融合,并针对Gauss分布情形推导出温度场后验分布的解析表达式.通过一维和二维热传导算例验证,所提方法不仅能够实现对温度场的高精度预测,还可有效量化预测结果的不确定性.
2025, 46(8): 999-1015.
doi: 10.21656/1000-0887.450270
摘要:
燃气轮机是空天和舰船装备的重要动力来源,涡轮作为燃-燃联合动力系统的关键部件,长时间工作在高温高压环境下,严苛的工作环境导致涡轮叶片易于遭受热腐蚀,从而可能引发系统级别的故障.因此,对涡轮进行热腐蚀故障诊断技术研究具有重要的工程意义.针对涡轮热腐蚀问题,提出了一种融合动态仿真和智能诊断算法的涡轮热腐蚀故障识别方法,利用模块化设计思路,在燃机运行机理数字化模型的基础上建立了整机动态仿真模型,通过标准差法检测所提取数据集中的异常值,使用KNN算法填补空缺值后,采用的小波包Bayes降噪使信号和数据更精准,然后根据人工智能算法构建了表征叶片热腐蚀受损的识别模型.最后,通过使用历史健康数据训练人工智能算法,依靠监测预警模型输出的预测值与实际测量值之间的偏差变化,实现了对涡轮热腐蚀故障的预警播报:在120台机组不同部件运行故障定位测试中,该方法故障精准识别率达95%;在24台机组不同数据特征下的高压涡轮热腐蚀故障预警测试中,故障预警准确率达91.7%以上.该研究拟为动力装备的数字化诊断提供技术参考.
燃气轮机是空天和舰船装备的重要动力来源,涡轮作为燃-燃联合动力系统的关键部件,长时间工作在高温高压环境下,严苛的工作环境导致涡轮叶片易于遭受热腐蚀,从而可能引发系统级别的故障.因此,对涡轮进行热腐蚀故障诊断技术研究具有重要的工程意义.针对涡轮热腐蚀问题,提出了一种融合动态仿真和智能诊断算法的涡轮热腐蚀故障识别方法,利用模块化设计思路,在燃机运行机理数字化模型的基础上建立了整机动态仿真模型,通过标准差法检测所提取数据集中的异常值,使用KNN算法填补空缺值后,采用的小波包Bayes降噪使信号和数据更精准,然后根据人工智能算法构建了表征叶片热腐蚀受损的识别模型.最后,通过使用历史健康数据训练人工智能算法,依靠监测预警模型输出的预测值与实际测量值之间的偏差变化,实现了对涡轮热腐蚀故障的预警播报:在120台机组不同部件运行故障定位测试中,该方法故障精准识别率达95%;在24台机组不同数据特征下的高压涡轮热腐蚀故障预警测试中,故障预警准确率达91.7%以上.该研究拟为动力装备的数字化诊断提供技术参考.
2025, 46(8): 1016-1026.
doi: 10.21656/1000-0887.460068
摘要:
数字孪生技术通过构建高精度虚拟模型,结合实时数据获取和仿真分析,在高温热端部件的设计、运行和维护过程中具有重要意义.耐高温、高灵敏度、高稳定性的传感器是数据获取并提供高温部件运行状态精准映射的关键.该文以PSN1型聚硅氮烷为前驱体,采用液态模塑成型方法制备致密非晶SiCN陶瓷,并系统研究了热解温度对其微观结构演化以及微纳力学性能、压阻特性的影响.研究表明,随着热解温度的升高,非晶SiCN的密度以及结构中自由碳相的有序度逐渐增加.在1 000~1 200 ℃热解温度范围内,密度的增加作为主导因素显著提升其弹性模量、硬度以及蠕变应力指数.当温度进一步升至1 300 ℃,sp2自由碳结构的有序化作为主导因素,增加了非晶SiCN的变形能力,引起弹性模量、硬度和蠕变应力指数的降低.此外,自由碳导电相的有序化显著提升了非晶SiCN的电导率,经1 300 ℃热解的非晶SiCN表现出最高的压阻系数(310~416),对应电阻值随应力变化呈先急剧下降后趋于平缓的趋势.该材料在900 ℃高温环境下仍具有良好的压阻性能和稳定性,表明了其在高温压力传感器领域的应用潜力.
数字孪生技术通过构建高精度虚拟模型,结合实时数据获取和仿真分析,在高温热端部件的设计、运行和维护过程中具有重要意义.耐高温、高灵敏度、高稳定性的传感器是数据获取并提供高温部件运行状态精准映射的关键.该文以PSN1型聚硅氮烷为前驱体,采用液态模塑成型方法制备致密非晶SiCN陶瓷,并系统研究了热解温度对其微观结构演化以及微纳力学性能、压阻特性的影响.研究表明,随着热解温度的升高,非晶SiCN的密度以及结构中自由碳相的有序度逐渐增加.在1 000~1 200 ℃热解温度范围内,密度的增加作为主导因素显著提升其弹性模量、硬度以及蠕变应力指数.当温度进一步升至1 300 ℃,sp2自由碳结构的有序化作为主导因素,增加了非晶SiCN的变形能力,引起弹性模量、硬度和蠕变应力指数的降低.此外,自由碳导电相的有序化显著提升了非晶SiCN的电导率,经1 300 ℃热解的非晶SiCN表现出最高的压阻系数(310~416),对应电阻值随应力变化呈先急剧下降后趋于平缓的趋势.该材料在900 ℃高温环境下仍具有良好的压阻性能和稳定性,表明了其在高温压力传感器领域的应用潜力.
2025, 46(8): 1027-1036.
doi: 10.21656/1000-0887.450162
摘要:
针对有限计算资源下复合材料的实时监测问题,该文提出了基于超声导波和轻量化卷积神经网络(one-dimension convolutional neural network-deformable convolution attention,CDCA)的损伤实时识别方法. 在该方法中,为了压缩多个路径的导波信号,首先提出了改进差分驱动的平均聚合(improved differential-driven piecewise aggregate approximation,IDPAA)算法,利用该方法可以显著减少计算量;其次,提出了轻量化可变形卷积注意力(deformable convolution attention,DCA)机制,让模型聚焦在与损伤相关的像素级特征,从而实现更高效、准确的结构损伤识别;最后,通过结合一维卷积神经网络(one-dimension convolutional neural network,1D-CNN)和DCA机制,构建了CDCA模型. 该模型不仅可以在有限资源环境下运行,还能实现含噪声工况下的损伤实时识别. 在真实数据集上验证了所提出方法的有效性. 试验结果表明,所提出的损伤识别方法有较高的损伤识别准确性,准确率可达98%,并且大幅提高了模型计算效率,相较于其他先进深度学习模型具有显著的优势.
针对有限计算资源下复合材料的实时监测问题,该文提出了基于超声导波和轻量化卷积神经网络(one-dimension convolutional neural network-deformable convolution attention,CDCA)的损伤实时识别方法. 在该方法中,为了压缩多个路径的导波信号,首先提出了改进差分驱动的平均聚合(improved differential-driven piecewise aggregate approximation,IDPAA)算法,利用该方法可以显著减少计算量;其次,提出了轻量化可变形卷积注意力(deformable convolution attention,DCA)机制,让模型聚焦在与损伤相关的像素级特征,从而实现更高效、准确的结构损伤识别;最后,通过结合一维卷积神经网络(one-dimension convolutional neural network,1D-CNN)和DCA机制,构建了CDCA模型. 该模型不仅可以在有限资源环境下运行,还能实现含噪声工况下的损伤实时识别. 在真实数据集上验证了所提出方法的有效性. 试验结果表明,所提出的损伤识别方法有较高的损伤识别准确性,准确率可达98%,并且大幅提高了模型计算效率,相较于其他先进深度学习模型具有显著的优势.
2025, 46(8): 1037-1049.
doi: 10.21656/1000-0887.460003
摘要:
当结构尺度减小到微纳米尺寸时,一种新型的力电耦合效应(即挠曲电效应)愈发重要. 建立了在微尺寸下考虑挠曲电效应的声子晶体梁模型,研究了结构的色散曲线以及振动响应. 首先基于挠曲电效应的纳米电介质理论,从电学Gibbs自由能密度出发,得到了挠曲电材料的本构方程. 并基于Bernoulli-Euler梁的理论假设和变分原理推导出考虑挠曲电效应、微惯性效应以及动挠曲电效应的梁的振动控制方程. 通过传递矩阵法计算考虑了挠曲电效应的声子晶体梁的能带结构,以及有限长悬臂梁的固有频率. 研究了挠曲电效应以及结构参数对固有频率和带隙的影响规律. 结果表明,挠曲电效应显著提高了固有频率,可通过改变结构参数来获得更宽带隙. 仿真结果与理论结果吻合较好,验证了理论方法的有效性. 该文工作可为今后考虑挠曲电效应的微纳米声子晶体梁的设计提供理论指导.
当结构尺度减小到微纳米尺寸时,一种新型的力电耦合效应(即挠曲电效应)愈发重要. 建立了在微尺寸下考虑挠曲电效应的声子晶体梁模型,研究了结构的色散曲线以及振动响应. 首先基于挠曲电效应的纳米电介质理论,从电学Gibbs自由能密度出发,得到了挠曲电材料的本构方程. 并基于Bernoulli-Euler梁的理论假设和变分原理推导出考虑挠曲电效应、微惯性效应以及动挠曲电效应的梁的振动控制方程. 通过传递矩阵法计算考虑了挠曲电效应的声子晶体梁的能带结构,以及有限长悬臂梁的固有频率. 研究了挠曲电效应以及结构参数对固有频率和带隙的影响规律. 结果表明,挠曲电效应显著提高了固有频率,可通过改变结构参数来获得更宽带隙. 仿真结果与理论结果吻合较好,验证了理论方法的有效性. 该文工作可为今后考虑挠曲电效应的微纳米声子晶体梁的设计提供理论指导.
2025, 46(8): 1050-1063.
doi: 10.21656/1000-0887.450317
摘要:
解析模型可以更好地理解蠕滑、自旋对黏滑区分布的影响,并快速确定接触斑黏滑分布. 为此,推导了Kalker简化理论和Polach理论的黏滑边界线解析表达式,并将其应用于轮轨磨耗计算. 计算结果表明:蠕滑率及接触斑长短轴比值较小时,两种理论得到的黏滑分区及应力分布一致性较好,随着蠕滑率和长短轴比值增加,结果逐渐出现差异. 轨面湿滑状态下,滑动区比例会明显增加,但是磨耗速率降低了20%~30%;制动等级对磨耗速率有显著影响,与常用制动相比,紧急制动使得磨耗大幅增加;列车速度提高使得轮轨滑动速度增加,加剧了磨耗速率.
解析模型可以更好地理解蠕滑、自旋对黏滑区分布的影响,并快速确定接触斑黏滑分布. 为此,推导了Kalker简化理论和Polach理论的黏滑边界线解析表达式,并将其应用于轮轨磨耗计算. 计算结果表明:蠕滑率及接触斑长短轴比值较小时,两种理论得到的黏滑分区及应力分布一致性较好,随着蠕滑率和长短轴比值增加,结果逐渐出现差异. 轨面湿滑状态下,滑动区比例会明显增加,但是磨耗速率降低了20%~30%;制动等级对磨耗速率有显著影响,与常用制动相比,紧急制动使得磨耗大幅增加;列车速度提高使得轮轨滑动速度增加,加剧了磨耗速率.
2025, 46(8): 1064-1072.
doi: 10.21656/1000-0887.450318
摘要:
该文旨在研究求解凸凹双线性鞍点问题的一类带有外源扰动的二阶惯性原始对偶动力系统. 首先, 建立了该系统全局强解的存在性和唯一性定理; 随后, 当扰动参数满足一定的可积条件时, 证明了原始对偶间隙函数和速度向量范数沿动力系统所产生解轨道的快速收敛速率. 数值实验结果表明在不同的扰动情况下, 该动力系统均保持较快的收敛速率.
该文旨在研究求解凸凹双线性鞍点问题的一类带有外源扰动的二阶惯性原始对偶动力系统. 首先, 建立了该系统全局强解的存在性和唯一性定理; 随后, 当扰动参数满足一定的可积条件时, 证明了原始对偶间隙函数和速度向量范数沿动力系统所产生解轨道的快速收敛速率. 数值实验结果表明在不同的扰动情况下, 该动力系统均保持较快的收敛速率.
2025, 46(8): 1073-1082.
doi: 10.21656/1000-0887.450136
摘要:
由于约束效应,平面应变断裂韧性无法准确地表征工程结构的断裂韧度,二者之间的转换方法值得深入研究. 基于裂尖塑性区矢径,建立了材料断裂韧性的修正模型,从理论上将面内约束和面外约束的影响纳入到修正模型中,并提出了结构断裂韧度的预测方法. 利用该修正模型,对单边裂纹加筋板的断裂韧度和许用载荷进行了分析. 结果表明,面内约束和面外约束都对加筋板的断裂韧度、许用载荷有着重要影响;与平面应变断裂韧性和基于面内T应力的修正模型相比,基于塑性区矢径的修正模型更准确、更合理,并能综合地反映面内和面外的约束效应.
由于约束效应,平面应变断裂韧性无法准确地表征工程结构的断裂韧度,二者之间的转换方法值得深入研究. 基于裂尖塑性区矢径,建立了材料断裂韧性的修正模型,从理论上将面内约束和面外约束的影响纳入到修正模型中,并提出了结构断裂韧度的预测方法. 利用该修正模型,对单边裂纹加筋板的断裂韧度和许用载荷进行了分析. 结果表明,面内约束和面外约束都对加筋板的断裂韧度、许用载荷有着重要影响;与平面应变断裂韧性和基于面内T应力的修正模型相比,基于塑性区矢径的修正模型更准确、更合理,并能综合地反映面内和面外的约束效应.
编辑部公告
更多>